Time management is very much important in IIT JAM. The eduncle test series for IIT JAM Mathematical Statistics helped me a lot in this portion. I am very thankful to the test series I bought from eduncle.
Nilanjan Bhowmick AIR 3, CSIR NET (Earth Science)
>


Abhishek singh Best Answer
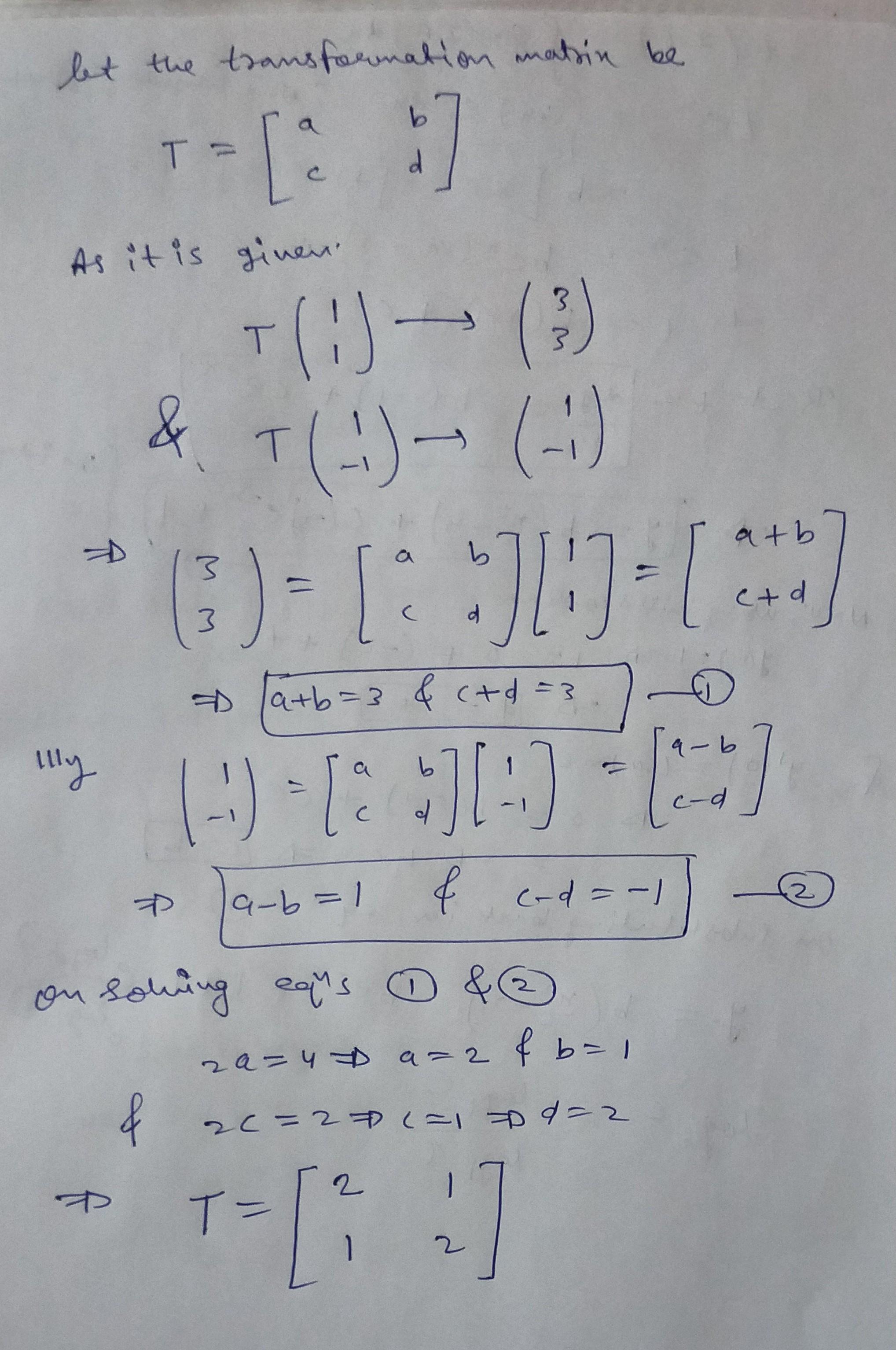
Option C is correct one. proof is attached alongwith. Don't forget to like, if found useful. Thank you.