Time management is very much important in IIT JAM. The eduncle test series for IIT JAM Mathematical Statistics helped me a lot in this portion. I am very thankful to the test series I bought from eduncle.
Nilanjan Bhowmick AIR 3, CSIR NET (Earth Science) 
		 
			 
			 
			 
			 
			 
			 
			 
			 
			 30 points
 30 points 
 
 
 
             
            

 
                
Animesh anand Best Answer
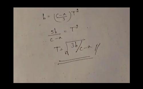
kindly find your answer attach below
yes, it's correct but could you pls solve it in terms of internal energy method by the way I wanted to see it will come or not