Rajat Jain posted an Question
June 02, 2020 • 21:50 pm 50 points
  • IIT JAM
  • Mathematics (MA)

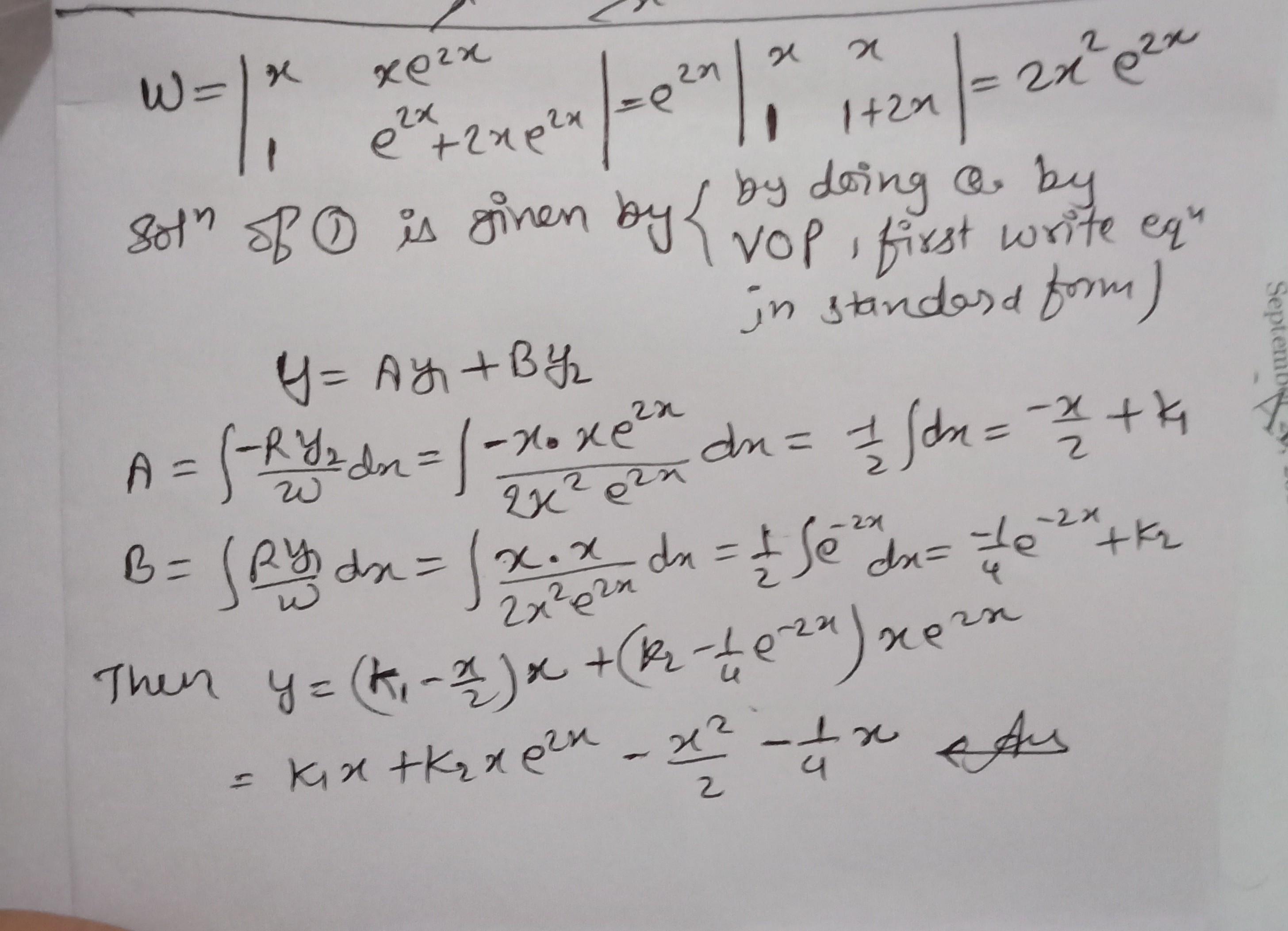
A mple solve by the method of variation of parameters x* y x gy -2x(1+ x)+2(1+x)y = x* dx2 dx at bu v2 and writina it in the normal

a mple Solve by the method of variation of parameters x* y x Gy -2x(1+ x)+2(1+x)y = x* dx2 dx at bu v2 and writina it in the normal

2 Answer(s) Answer Now
  • 0 Likes
  • 2 Comments
  • 0 Shares
whatsapp-btn

Do You Want Better RANK in Your Exam?

Start Your Preparations with Eduncle’s FREE Study Material

  • Updated Syllabus, Paper Pattern & Full Exam Details
  • Sample Theory of Most Important Topic
  • Model Test Paper with Detailed Solutions
  • Last 5 Years Question Papers & Answers