Time management is very much important in IIT JAM. The eduncle test series for IIT JAM Mathematical Statistics helped me a lot in this portion. I am very thankful to the test series I bought from eduncle.
Nilanjan Bhowmick AIR 3, CSIR NET (Earth Science)
>


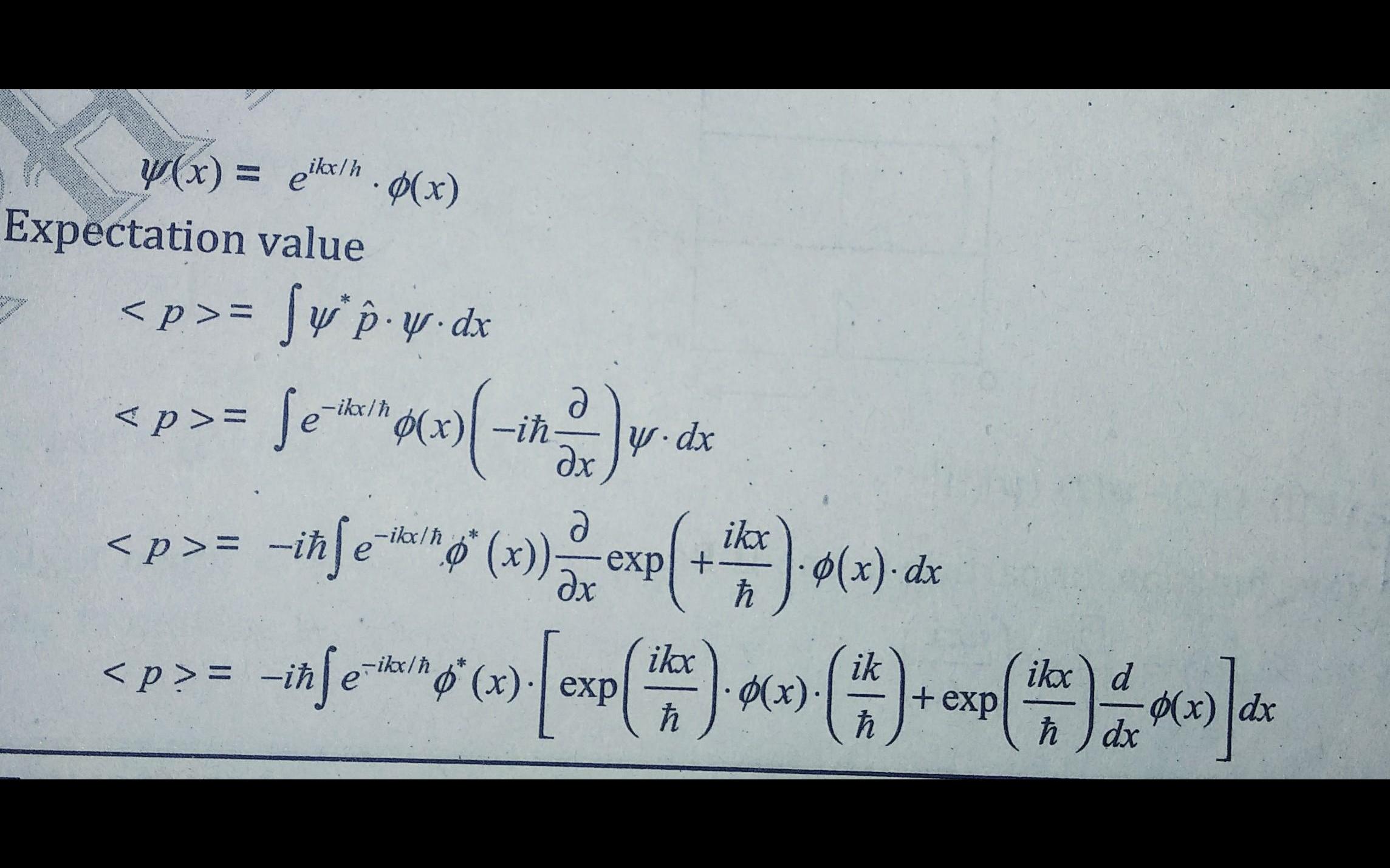
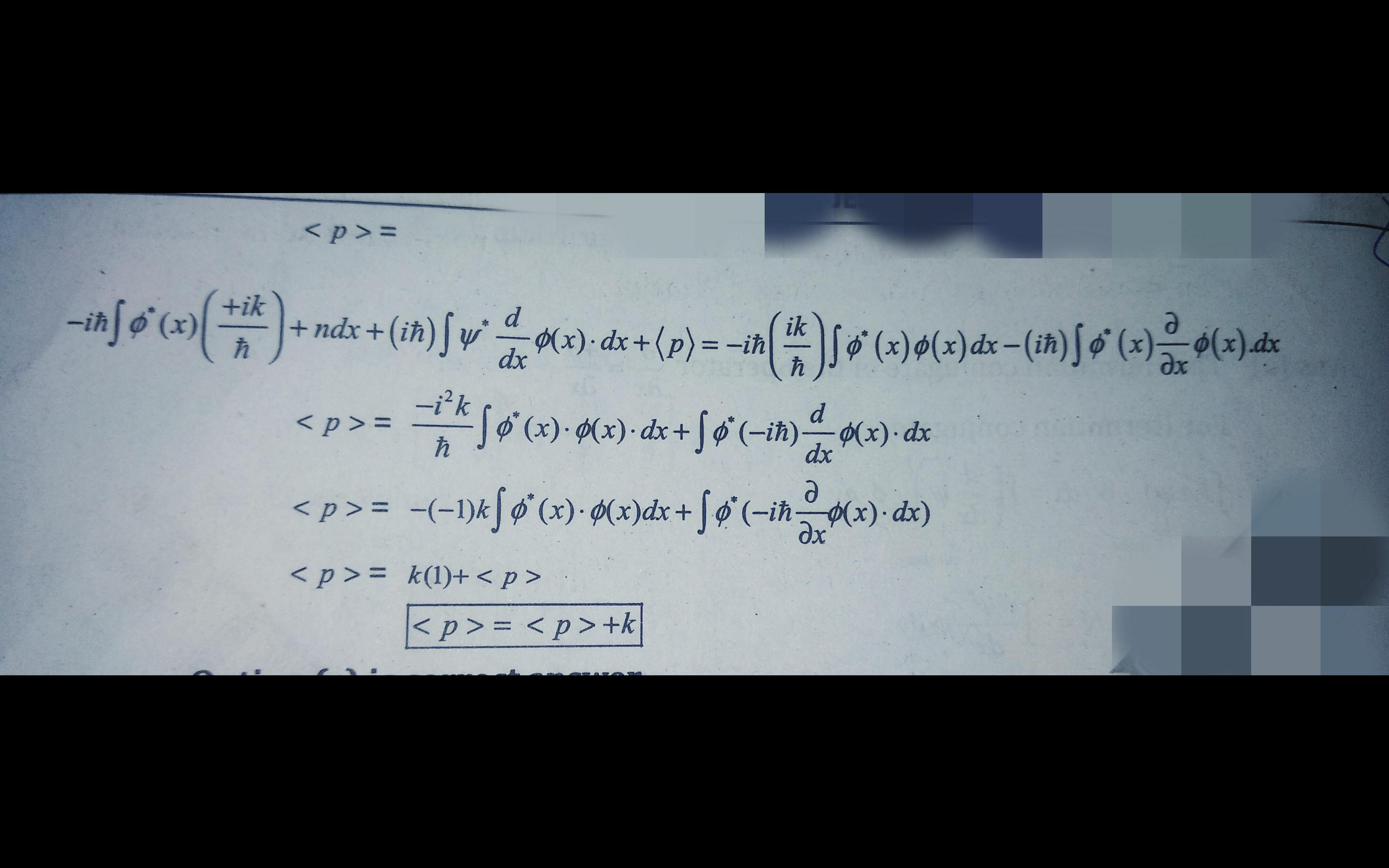
Bidyut sinha Best Answer
please check the attached picture.Same to same problem as your Question.Only Po is used in your Question instead of K(in the attached picture, K is used in the Question instead of Po..Answer is P+Po