Time management is very much important in IIT JAM. The eduncle test series for IIT JAM Mathematical Statistics helped me a lot in this portion. I am very thankful to the test series I bought from eduncle.
Nilanjan Bhowmick AIR 3, CSIR NET (Earth Science)
		
			
			
			
			
			
			
			
			
			
            
            

                
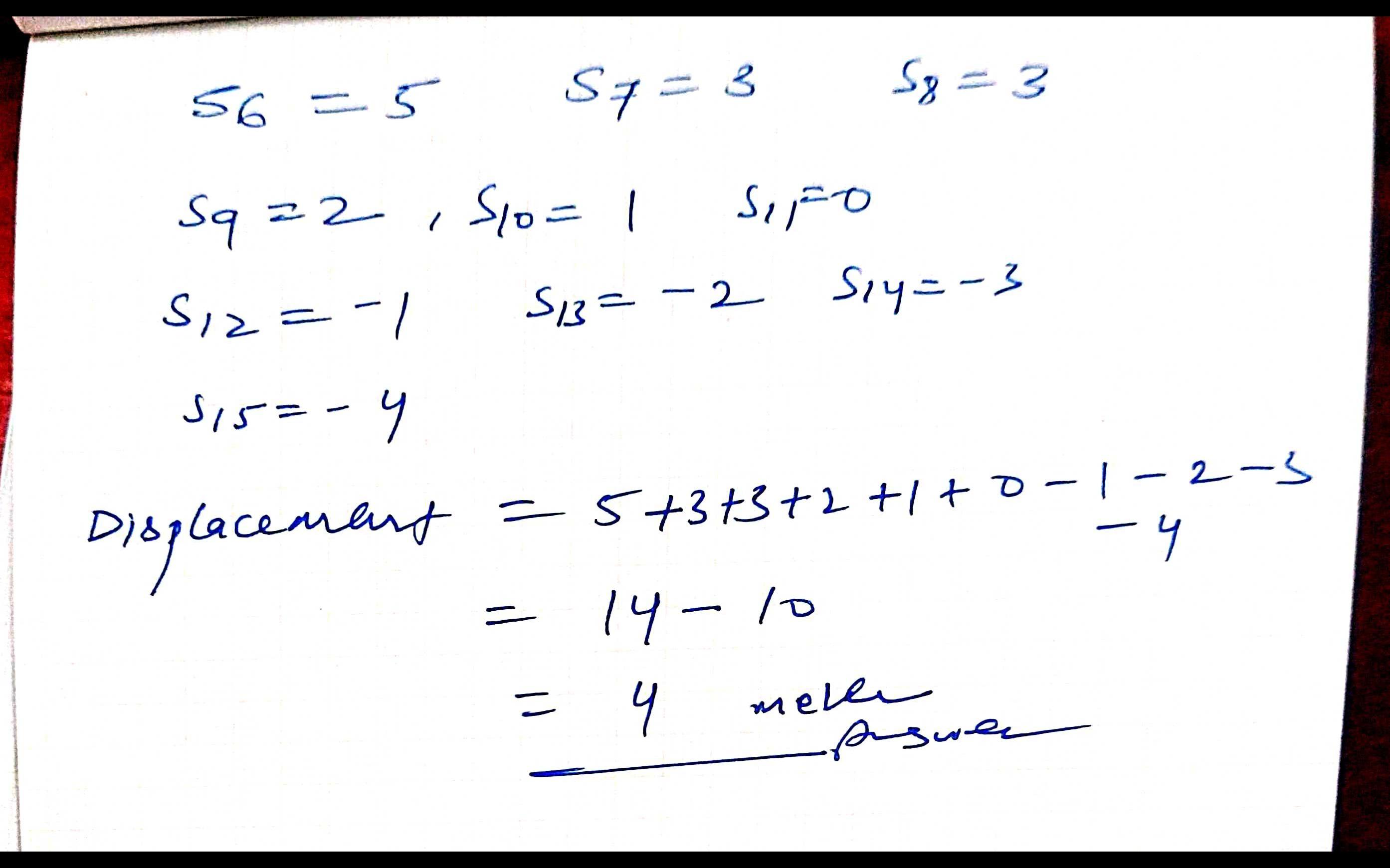
Prashant kumar Best Answer
Answer
why haven't we solved eq1 with initial condition u=0
As given conditions in question we have to solve this way if intial conditions given then we solve that way as you thin and by the way in question only asked from sixth second to 15 th second then we can't use intial condition.