Time management is very much important in IIT JAM. The eduncle test series for IIT JAM Mathematical Statistics helped me a lot in this portion. I am very thankful to the test series I bought from eduncle.
Nilanjan Bhowmick AIR 3, CSIR NET (Earth Science)


Isha lohan 1
See
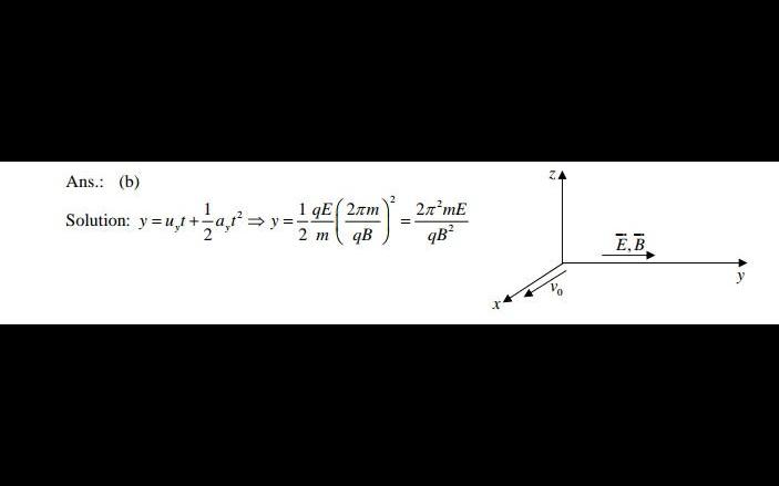
I don't get that can you please explain
imagine this prblm as a projectile prblm. but in projectile we have only one accelerating force field (gravity) but here w have two, E & M. now use equation of motion.