Time management is very much important in IIT JAM. The eduncle test series for IIT JAM Mathematical Statistics helped me a lot in this portion. I am very thankful to the test series I bought from eduncle.
Nilanjan Bhowmick AIR 3, CSIR NET (Earth Science)
>
>


Rahul kumar
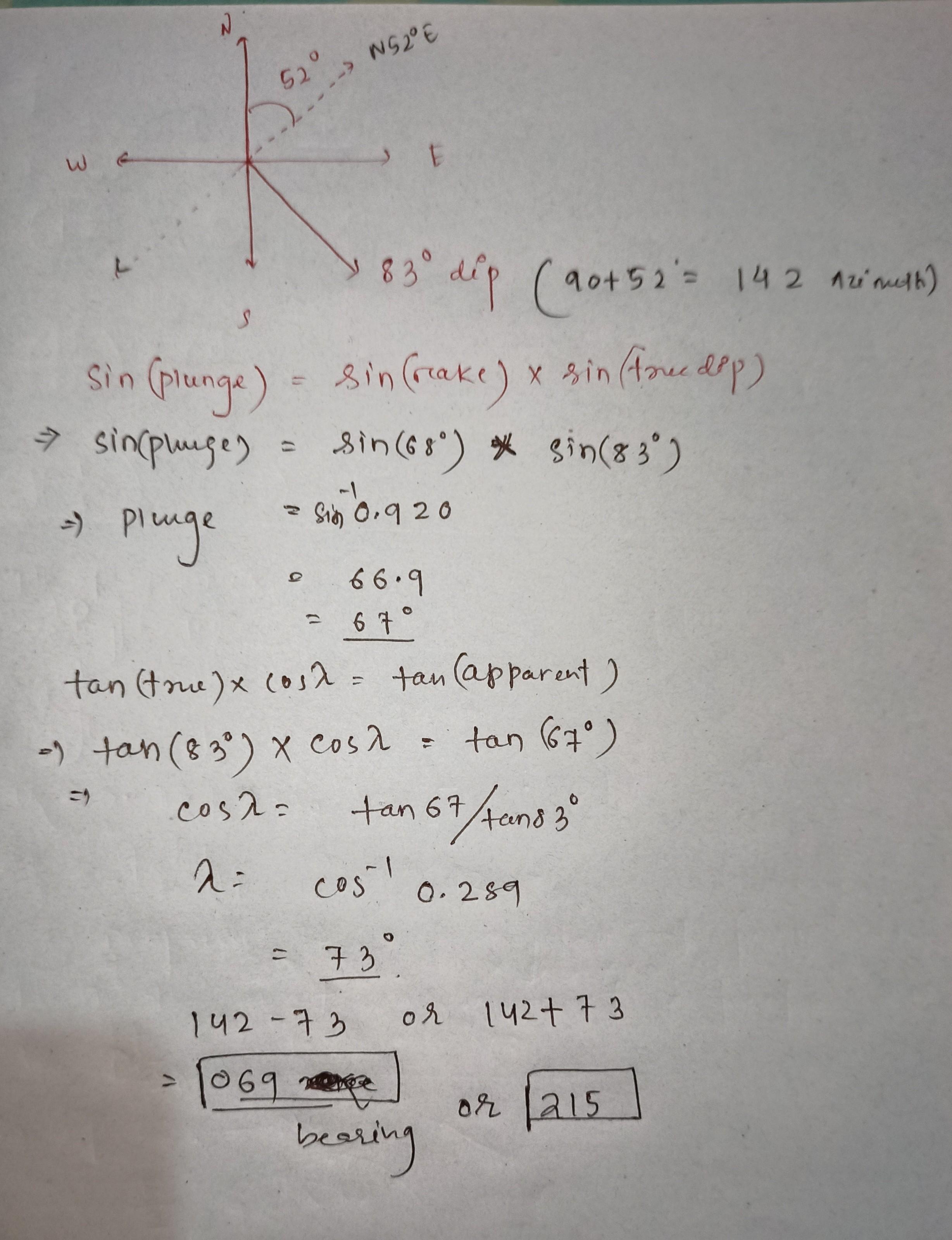
For calculation of Plunge amount: sin(plunge) = sin(dip) × sin(rake) sin(plunge) = sin(83) × sin(68) = 0.92 So, Plunge= arcsin(0.92) = 66.92° i.e., the plunge of lineation is 66.92° For calculation of bearing (relative to strike direction of bed): cos(bearing) = cos(rake) / cos(plunge) cos(bearing)= cos(68) / cos(66.92) = 0.95559 Bearing= arccos(0.95559)= 17.14° So, the actual bearing of lineation= Bearing relative to strike of the bed + strike of the bed = 17.14° + N52E = N69.14E i.e., the actual bearing of lineation is N69.14E