Time management is very much important in IIT JAM. The eduncle test series for IIT JAM Mathematical Statistics helped me a lot in this portion. I am very thankful to the test series I bought from eduncle.
Nilanjan Bhowmick AIR 3, CSIR NET (Earth Science)
>
>



Abhishek singh
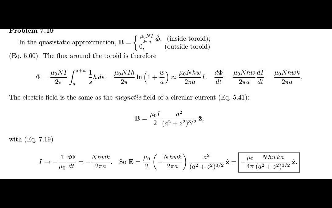
Solution attached.
as per this solution, electric field is same as magnetic field of circular current, how?
please tell, why do we consider here E same as B?