Time management is very much important in IIT JAM. The eduncle test series for IIT JAM Mathematical Statistics helped me a lot in this portion. I am very thankful to the test series I bought from eduncle.
Nilanjan Bhowmick AIR 3, CSIR NET (Earth Science)
>


Ujjawal vishal Best Answer
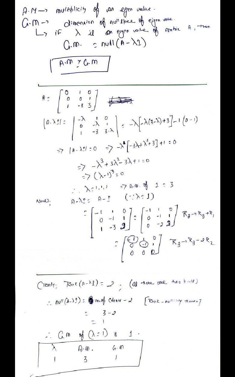
Concept : A.M. => multiplicity of an eigen value (how many times it repeated) G.M. => Dimension of null space of eigen value. If x is an eigen value of a matrix A, then G.M of x = nullity (A -xI) Also, remember A.M≥G.M. detailed solution attached