Time management is very much important in IIT JAM. The eduncle test series for IIT JAM Mathematical Statistics helped me a lot in this portion. I am very thankful to the test series I bought from eduncle.
Nilanjan Bhowmick AIR 3, CSIR NET (Earth Science)


Jeevesh magnani
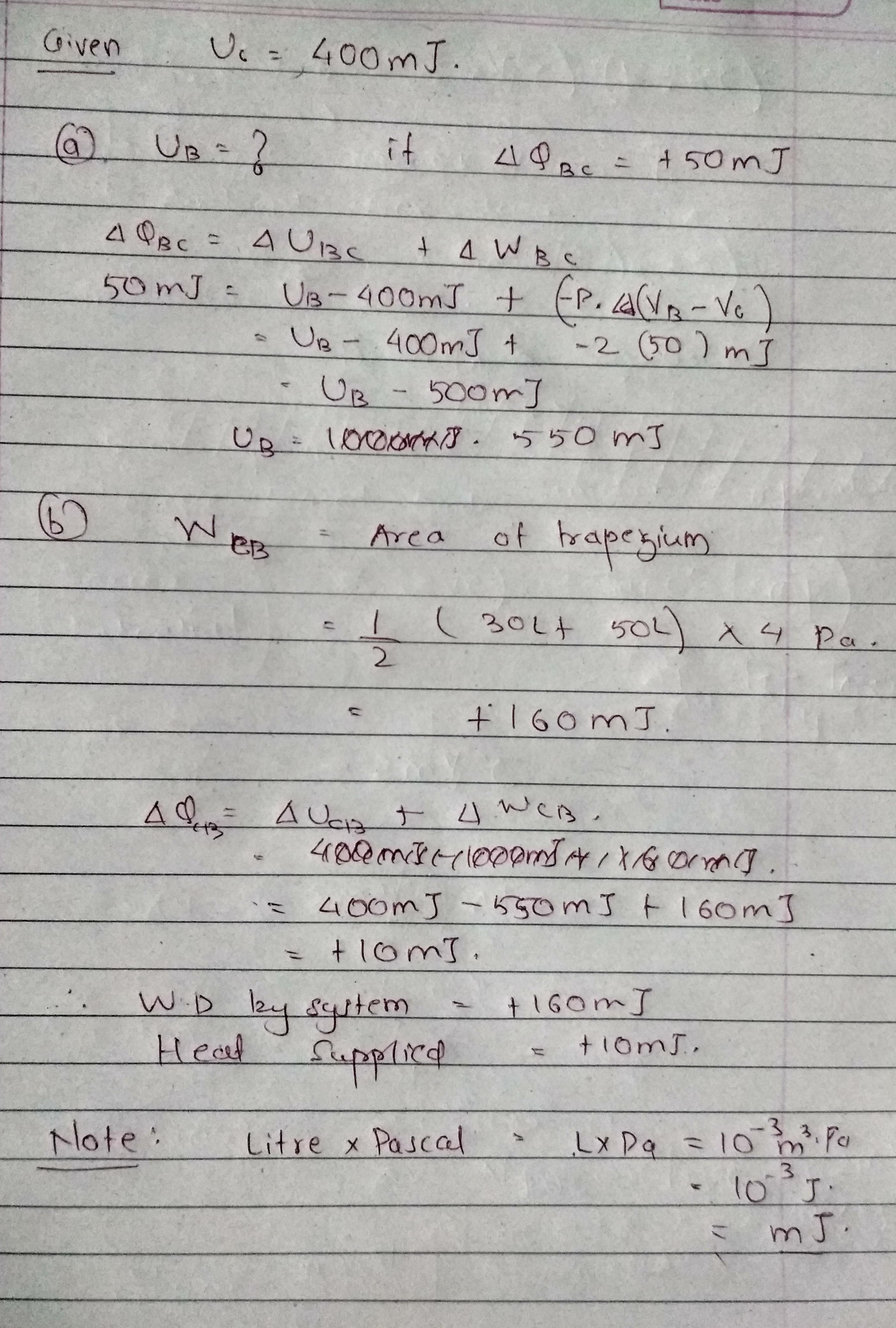
used first law of thermodynamics, and then used applied conditions to solve further. please see attachment. Note is added at the end to understand how we get mJ for this system.