Nandani posted an Question
April 12, 2022 • 16:55 pm 30 points
  • IIT JAM
  • Mathematics (MA)

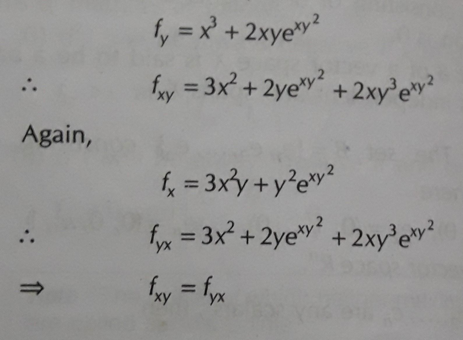
Anipre fx,y) = xy+ e then, which one of the following is correct? (a) fyt (c) fyty (b) fyf (d) fy2 fp

aniprE fx,y) = xy+ e Then, which one of the following is correct? (a) fyt (c) fyTy (b) fyf (d) fy2 fp

1 Answer(s) Answer Now
  • 0 Likes
  • 1 Comments
  • 0 Shares
whatsapp-btn

Do You Want Better RANK in Your Exam?

Start Your Preparations with Eduncle’s FREE Study Material

  • Updated Syllabus, Paper Pattern & Full Exam Details
  • Sample Theory of Most Important Topic
  • Model Test Paper with Detailed Solutions
  • Last 5 Years Question Papers & Answers