Time management is very much important in IIT JAM. The eduncle test series for IIT JAM Mathematical Statistics helped me a lot in this portion. I am very thankful to the test series I bought from eduncle.
Nilanjan Bhowmick AIR 3, CSIR NET (Earth Science)
>
>

>
>


Ruby negi
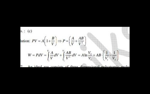
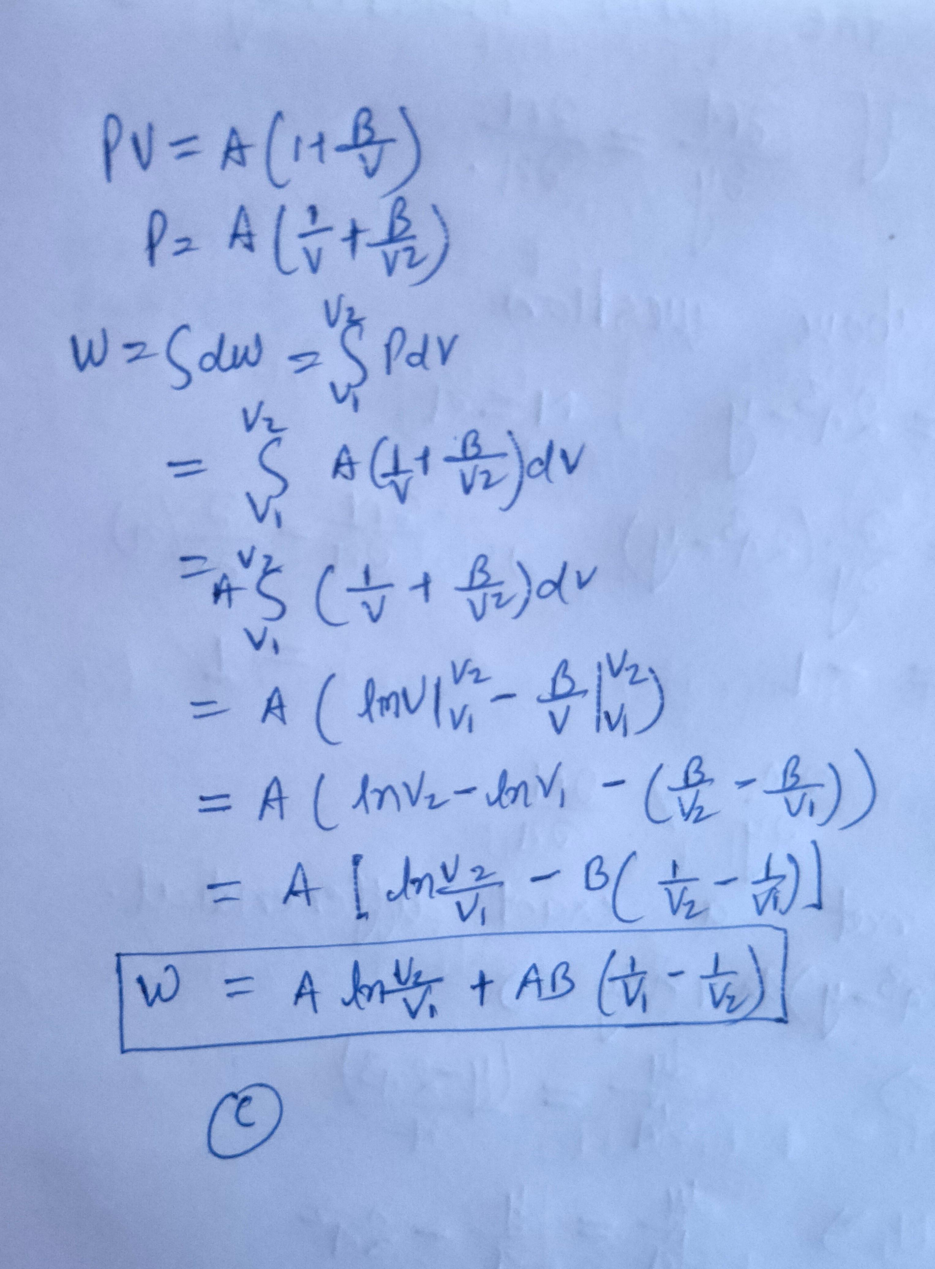
here is ur solution... also u asked that it is an isothermal process then why we use PdV for work done.. so dear,work done is always PdV ,it changes its form according to the process, u can see in my attached page(second one), PdV changes to nRTln(v2/v1) in isothermal process (because in isothermal dU is zero) so work done is always PdV, here in this question, equation of state PV is different ( see the solution, and for any doubt u can ask)...
also PdV is zero in isochroic and PdV remains PdV in isobaric..
for our Convience, we change its form so that we can directly find the work done just by putting values
hope u will get me.. for further discussion, must ask..
thanks a lot mam
sinciarly saying, u will clarified my doubt
okay . thanks for understanding my words..
i already marked it
yeah.. okay thanks