Time management is very much important in IIT JAM. The eduncle test series for IIT JAM Mathematical Statistics helped me a lot in this portion. I am very thankful to the test series I bought from eduncle.
Nilanjan Bhowmick AIR 3, CSIR NET (Earth Science)
>
>

>


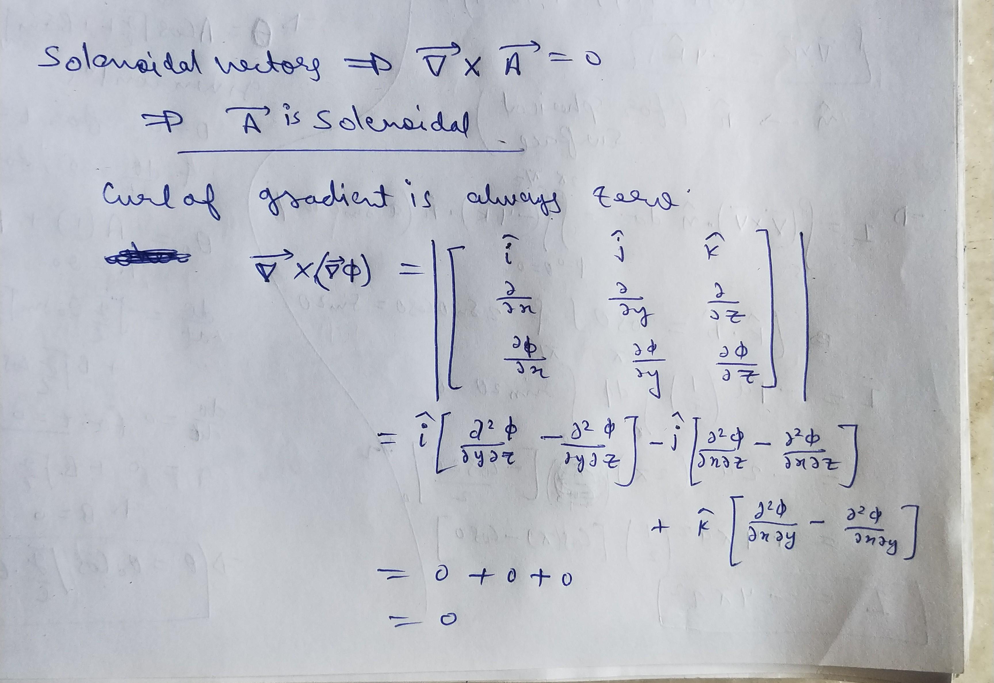
Abhishek singh Best Answer
in my previous solution, I made a huge mistake. apologies for that. Here I have proven what you had asked. Doubts will be entertained. Not replying to comment would never help you. Do reply, whether you got your answer or not. Best regards.