Time management is very much important in IIT JAM. The eduncle test series for IIT JAM Mathematical Statistics helped me a lot in this portion. I am very thankful to the test series I bought from eduncle.
Nilanjan Bhowmick AIR 3, CSIR NET (Earth Science)
>


Ravi bhushan
Here is the detailed solution.
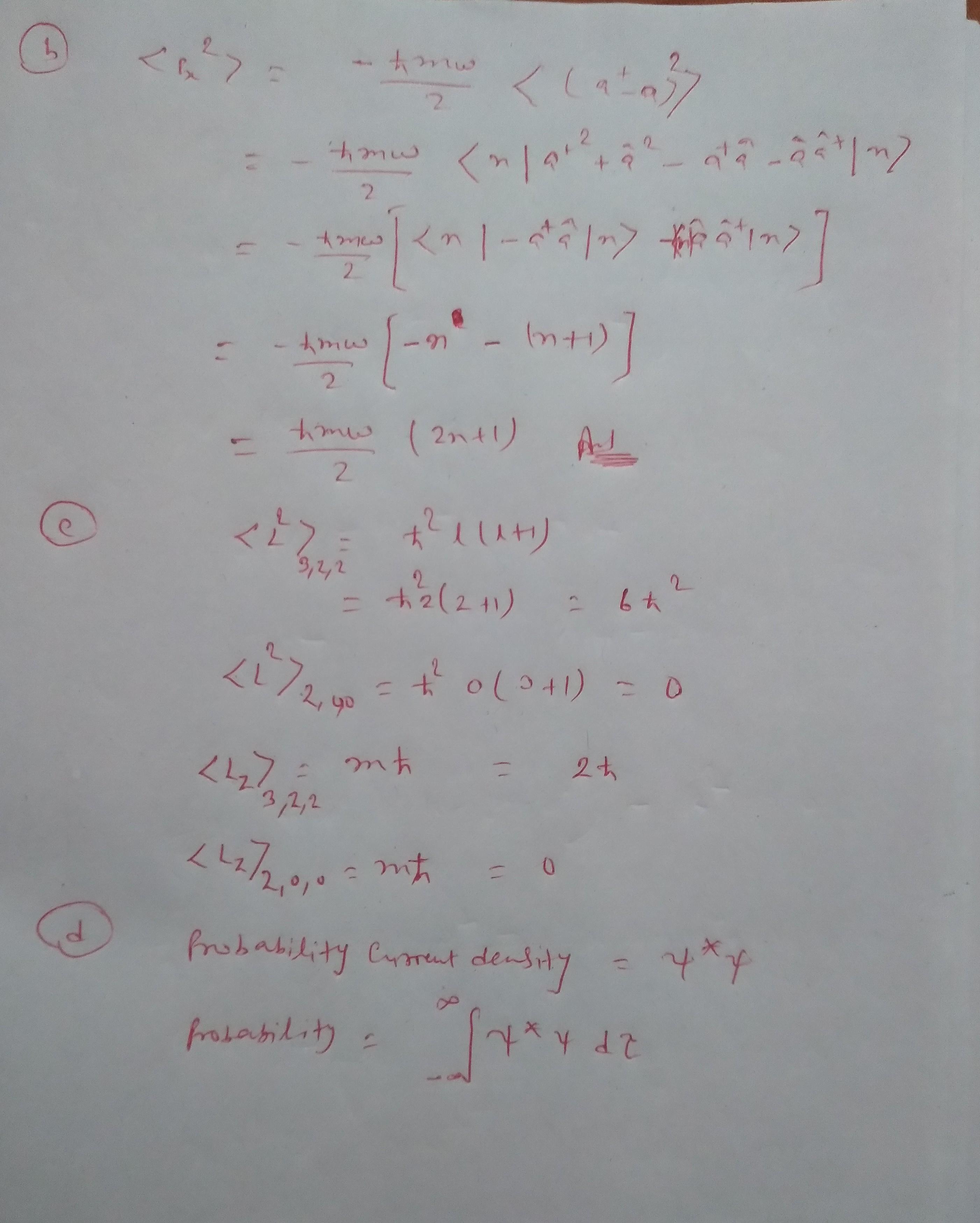
please detailed proof of px2 exception value,I cannot understand
sir how you write the first expression of exception value of harmonic oscillator
What I have written that is correct.
Px = i sqrt hmw/2 (a+ - a)
Take square of Px and find expectation value.
If you don't have believe then you can check Harmonic oscillator chapter in Quantum Mechanics.