Time management is very much important in IIT JAM. The eduncle test series for IIT JAM Mathematical Statistics helped me a lot in this portion. I am very thankful to the test series I bought from eduncle.
Nilanjan Bhowmick AIR 3, CSIR NET (Earth Science)
>


Satpal singh
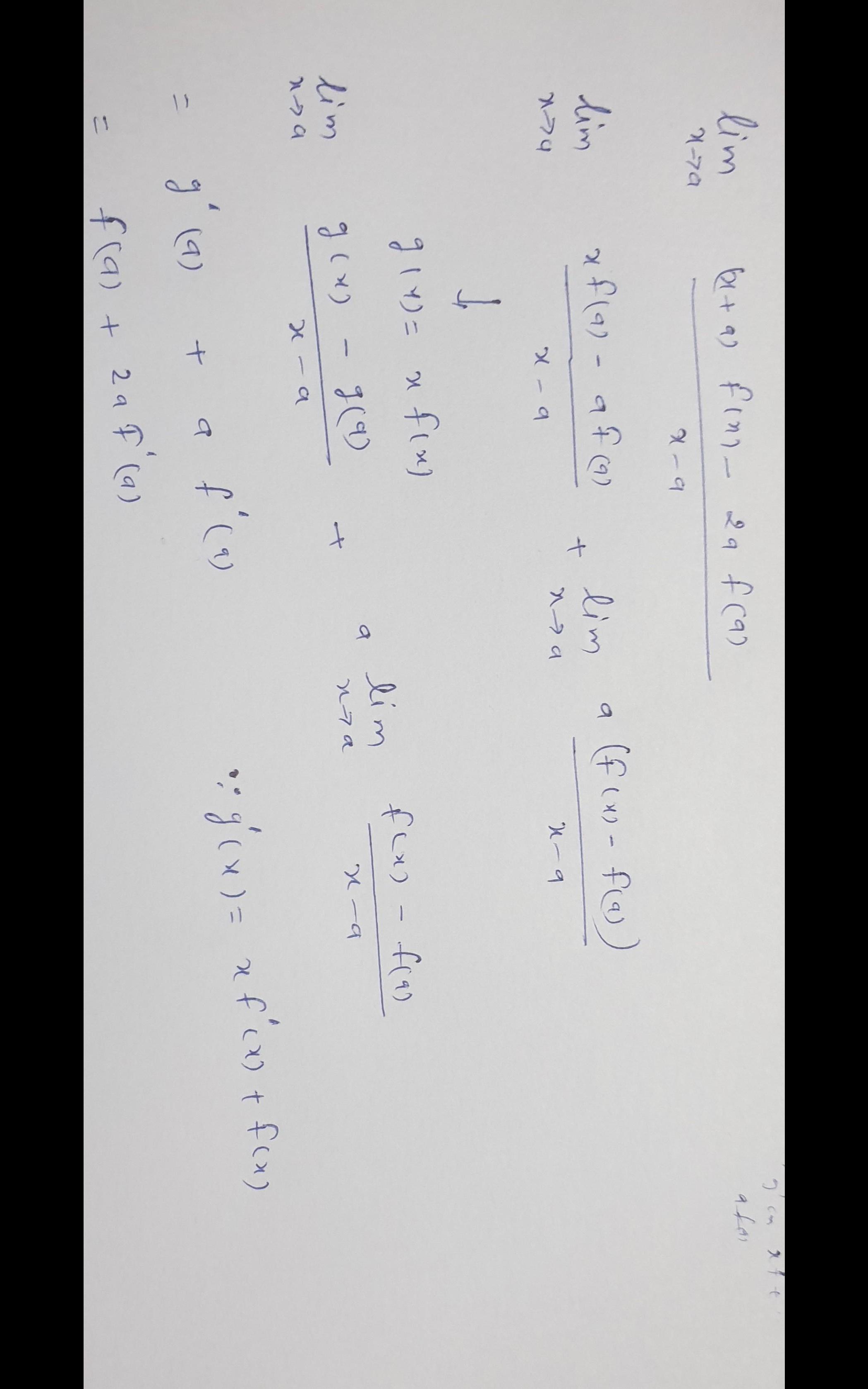
see this . you can ask your doubt about this
please give me solution with language
that's will be quite helpful for me
there is no need of language in this . this solution is sufficient only. tell me where r u getting difficulty