Time management is very much important in IIT JAM. The eduncle test series for IIT JAM Mathematical Statistics helped me a lot in this portion. I am very thankful to the test series I bought from eduncle.
Nilanjan Bhowmick AIR 3, CSIR NET (Earth Science)
>


Mahak Best Answer
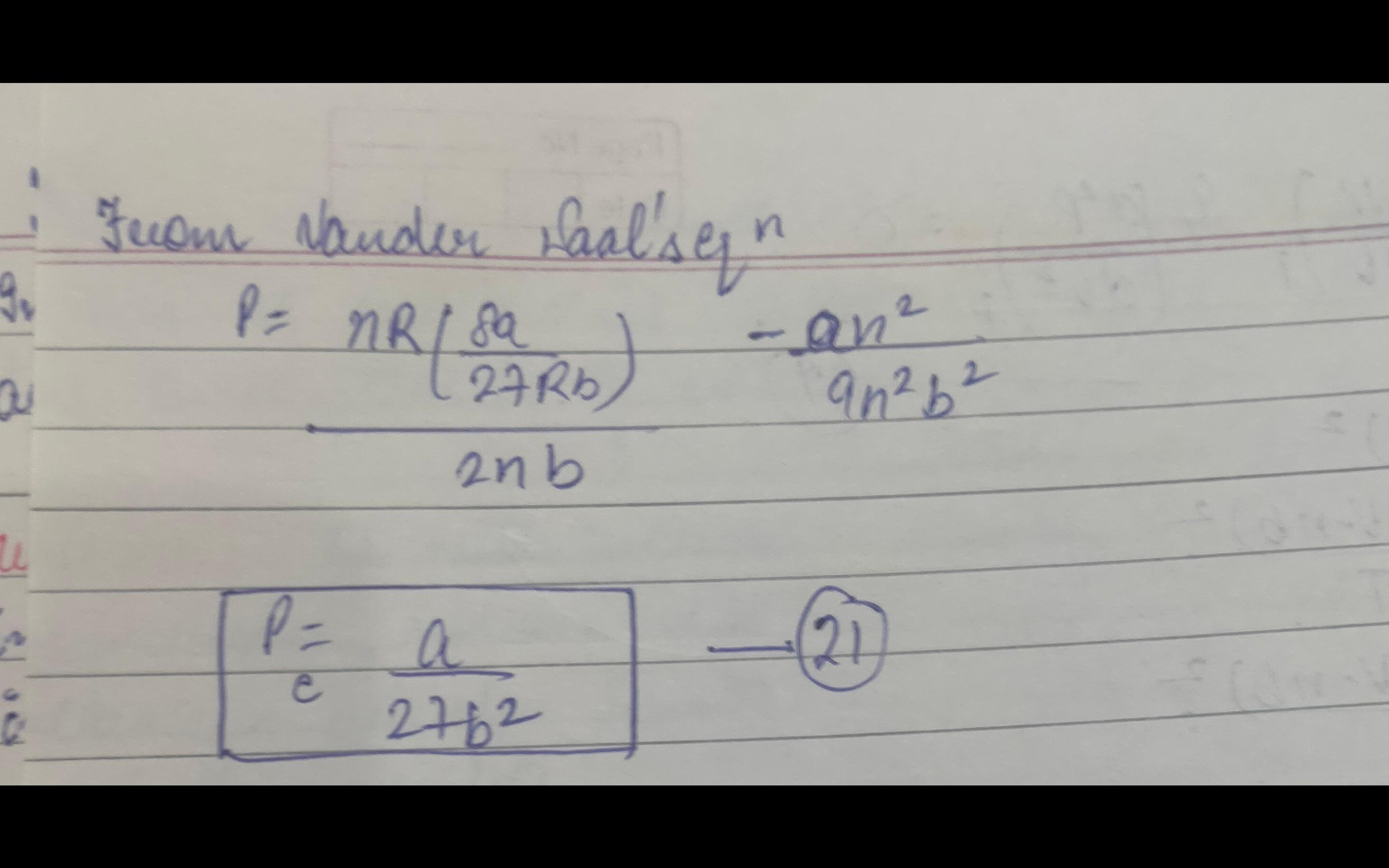
see this it contains critical constants and Boyles temperature for reduced gas I am not able to attach here for that mail at 1961248@pg.du.ac.in