Time management is very much important in IIT JAM. The eduncle test series for IIT JAM Mathematical Statistics helped me a lot in this portion. I am very thankful to the test series I bought from eduncle.
Nilanjan Bhowmick AIR 3, CSIR NET (Earth Science)
>
>
>



Snehasish ghosh
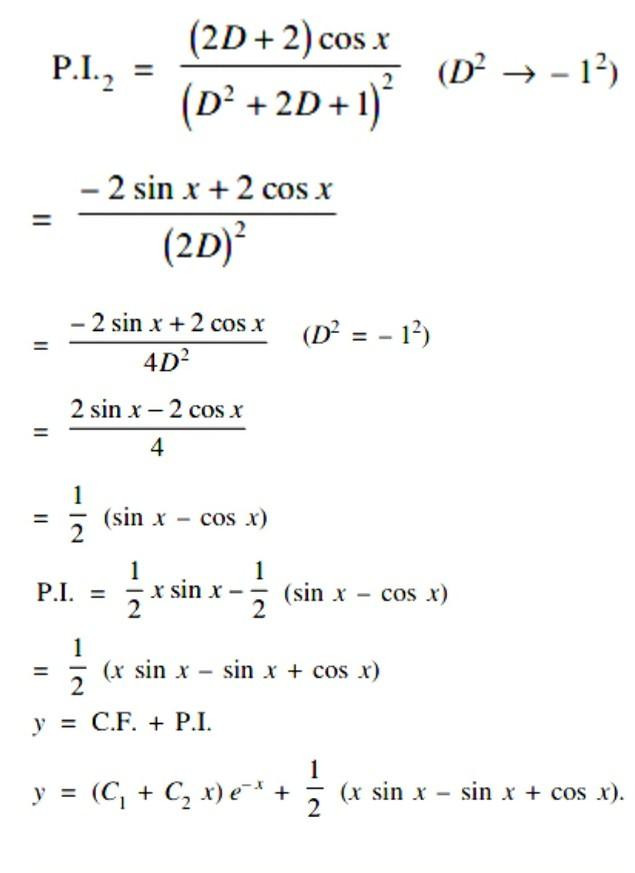
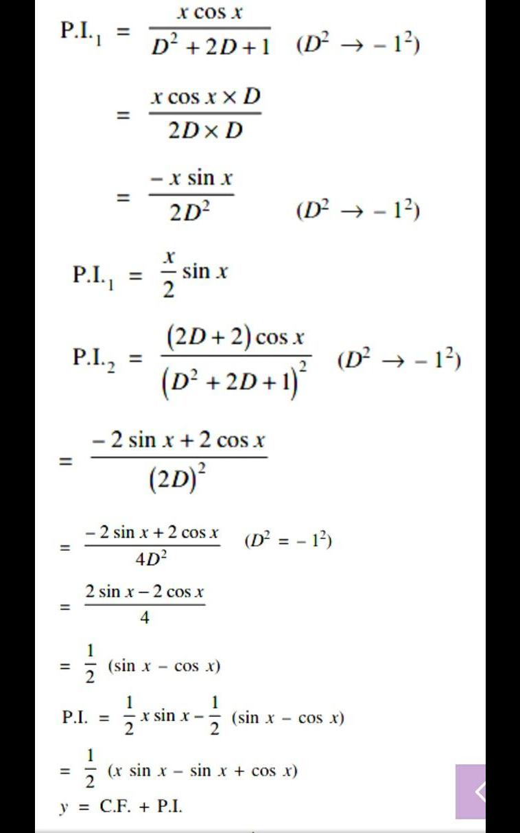
There are some particular rules of finding the particular integral... Learn those rules and you will be able to find the particular Integrals of all sums