Time management is very much important in IIT JAM. The eduncle test series for IIT JAM Mathematical Statistics helped me a lot in this portion. I am very thankful to the test series I bought from eduncle.
Nilanjan Bhowmick AIR 3, CSIR NET (Earth Science)


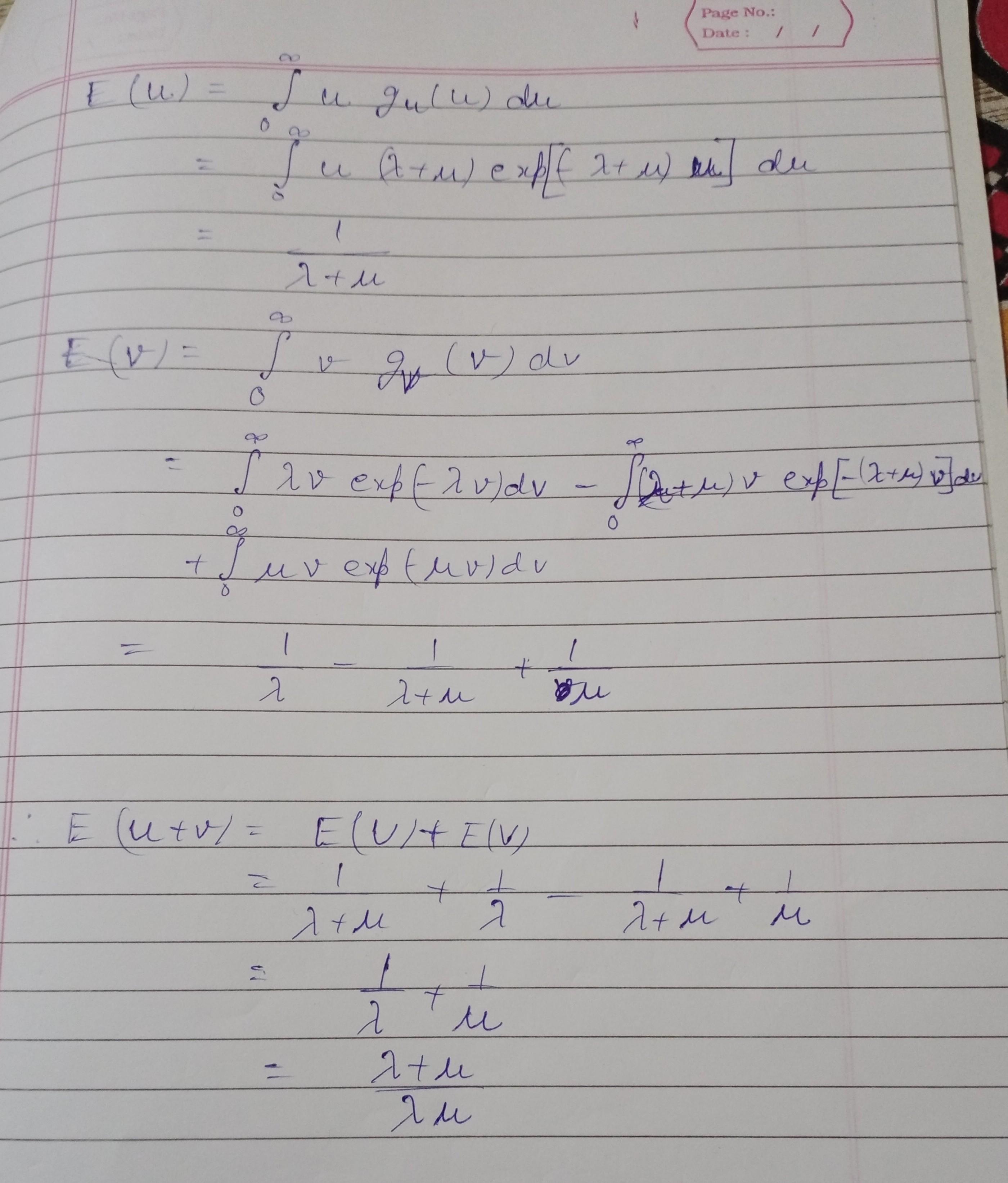
Kaushik gupta Best Answer
hope this will help you
i had asked one question of confidence interval ...pls solve that too..i am not able to solve that..it would be a great help
ok i will send you the solution tomorrow
okk..thanks a lot...
sir, u told about giving solution....i thought to remind u....it would be great help sir...pls sir ..provide Sol.