Time management is very much important in IIT JAM. The eduncle test series for IIT JAM Mathematical Statistics helped me a lot in this portion. I am very thankful to the test series I bought from eduncle.
Nilanjan Bhowmick AIR 3, CSIR NET (Earth Science)
>



Suman Kumar
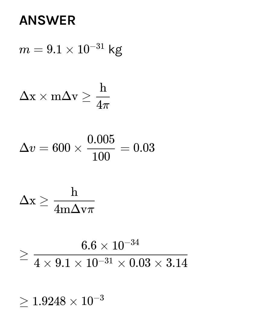
https://doubtnut.com/minute-question-answer/in-an-atom-and-electron-is-moving-with-a-speed-of-600-ms-1-with-an-accuracy-of-0005-certainty-with-w-12973086
See this video solution Shifana
please ask if you don't get anything 🙏