Time management is very much important in IIT JAM. The eduncle test series for IIT JAM Mathematical Statistics helped me a lot in this portion. I am very thankful to the test series I bought from eduncle.
Nilanjan Bhowmick AIR 3, CSIR NET (Earth Science)
>



Alka gupta
see....
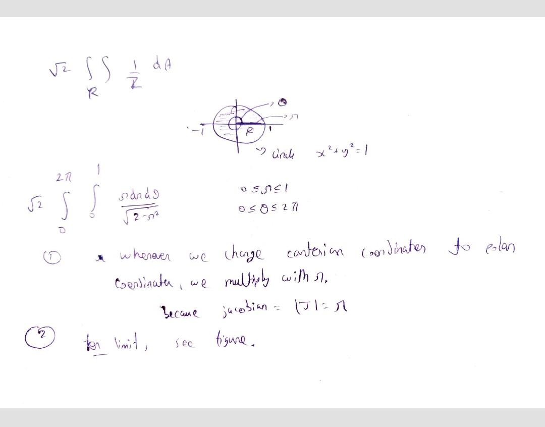
is any formula is given for surface area in this problem
and aslo why you introduced that root in surface area formula
this is formula for surface area...
see this....
can we use this when ever we want to find surface area
yes....this is formula for surface area...we can use it
ok thnx