Time management is very much important in IIT JAM. The eduncle test series for IIT JAM Mathematical Statistics helped me a lot in this portion. I am very thankful to the test series I bought from eduncle.
Nilanjan Bhowmick AIR 3, CSIR NET (Earth Science) 
		 
			 
			 
			 
			 
			 
			 
			 
			 
			 30 points
 30 points >
>
	 
 
 
 
             
            

 
                
Deepak singh 1![best-answer]() 
			
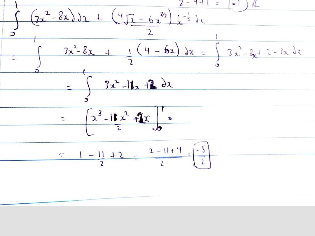
Refer attached answer is -5/2
but see here it is given as 5 /2
then the answer in the book is wrong
there is misprint in book.. there should be -ve sign also..
share complete question and solution page , if possible ..