Time management is very much important in IIT JAM. The eduncle test series for IIT JAM Mathematical Statistics helped me a lot in this portion. I am very thankful to the test series I bought from eduncle.
Nilanjan Bhowmick AIR 3, CSIR NET (Earth Science)
>
>



Deepak singh 1 Best Answer
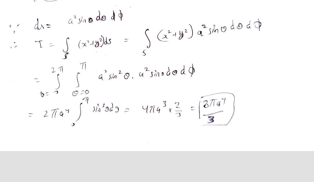
Refer attached
is ds is crt are a^2 sincos dtetha depoch
can you tell how to calculate that ds
yes wait..
ok
Refer attached ,
we can use this as formula ds = a^2sintheta dtheta dphi.
how we got that values for that
inside value of that ds how to find it
its jacobian . Read jacobian topic , then you will get it..
is this formula is used when we change any coordinates to another coordinates are there many formula to find different coordinates
can you send that image again i mistakenly deleted
yes , this jacobian is used when we change from one coordinate system to another system
which image ?? you can downlod again above image..
that jacobain image
see
but answer in the book is 0
in book , they have found flux which is correct .
I have solved surface integral ...
then both answer should be same know
answer will be different , actually in question , they have not said anything about flux . So question is not framed correctly here.
ok so for that question our answer is crt but if they ask about flux we should find that n cap also