Time management is very much important in IIT JAM. The eduncle test series for IIT JAM Mathematical Statistics helped me a lot in this portion. I am very thankful to the test series I bought from eduncle.
Nilanjan Bhowmick AIR 3, CSIR NET (Earth Science)


Alka gupta
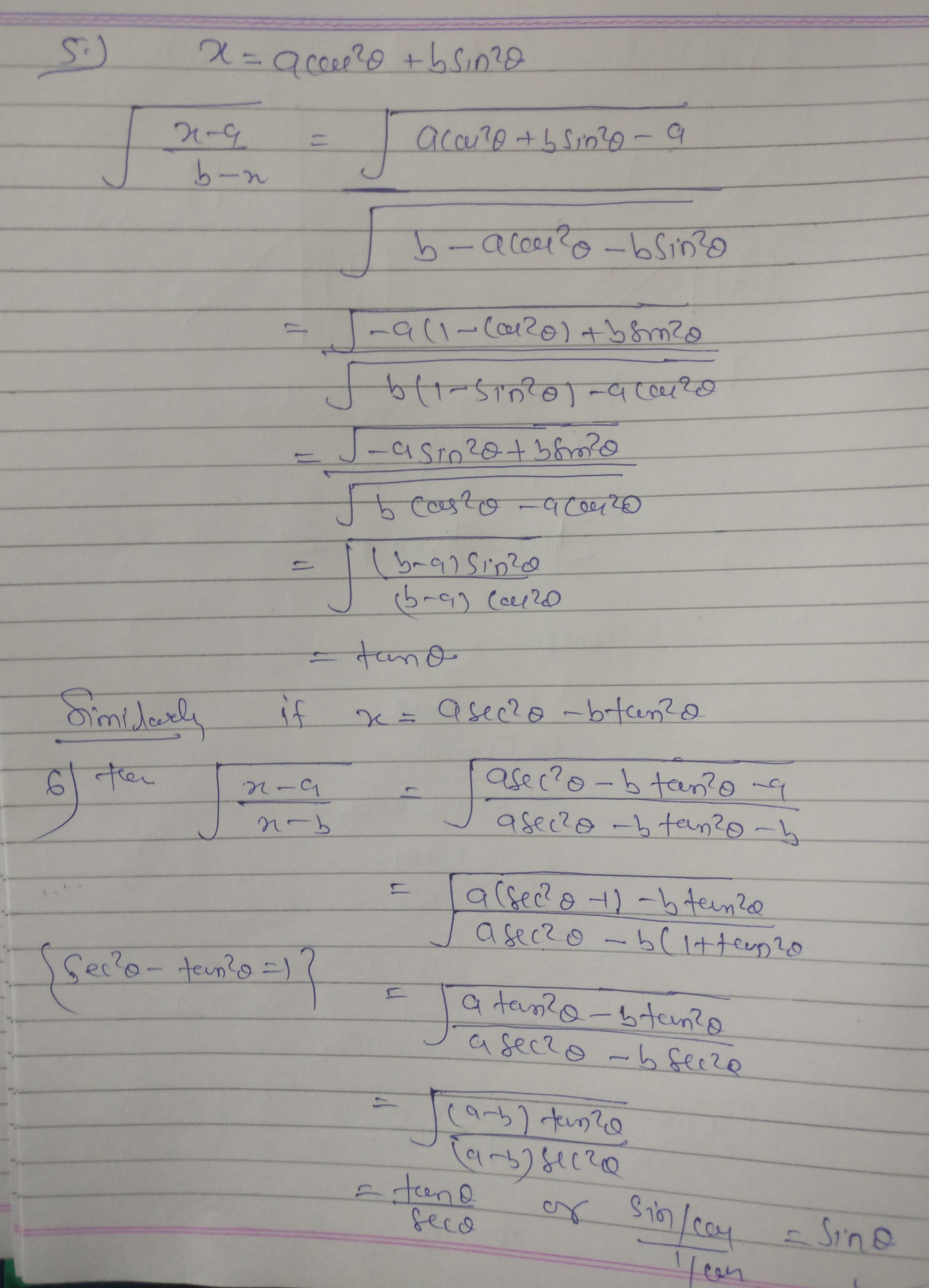
similarly we can solve remaining ....
is this applicable only when we have x as the question or we can sub when question contain sinx ,coax etc
only for x
ok
if the question is like ✓a^2-(e^x)^2 can we sub that in x
no....in this case method will be different
ok