Time management is very much important in IIT JAM. The eduncle test series for IIT JAM Mathematical Statistics helped me a lot in this portion. I am very thankful to the test series I bought from eduncle.
Nilanjan Bhowmick AIR 3, CSIR NET (Earth Science)
>



Alka gupta
see....
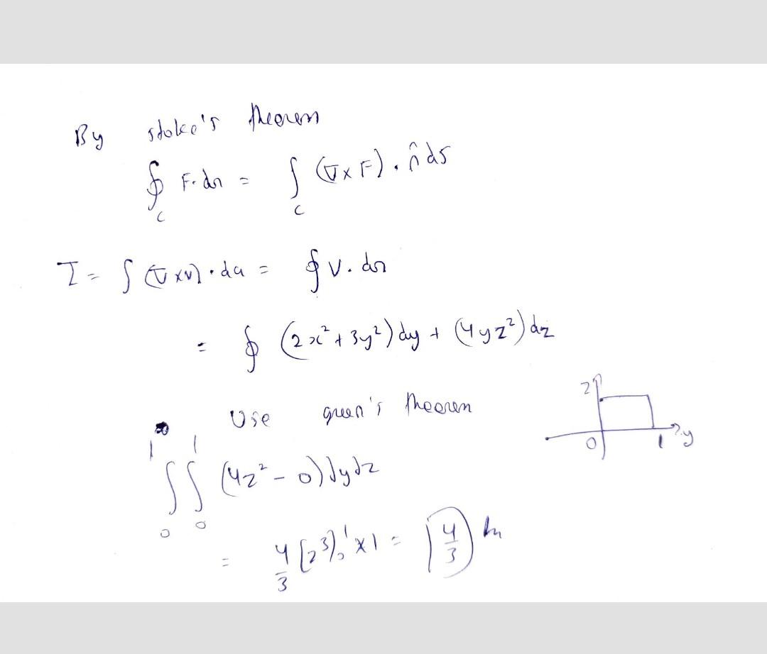
can we take XY plane are we should only take yz plane because i have taken XY plane for that i get answer as 2
we can't take xy plane ... z axis is always up side (standard ) so here two cases Aries.....see
this creates confusion....so in your qus it should be mentioned
oh so for different plane the answer will be different i am right
yes....you are right