Time management is very much important in IIT JAM. The eduncle test series for IIT JAM Mathematical Statistics helped me a lot in this portion. I am very thankful to the test series I bought from eduncle.
Nilanjan Bhowmick AIR 3, CSIR NET (Earth Science)
>


Deepak singh 1
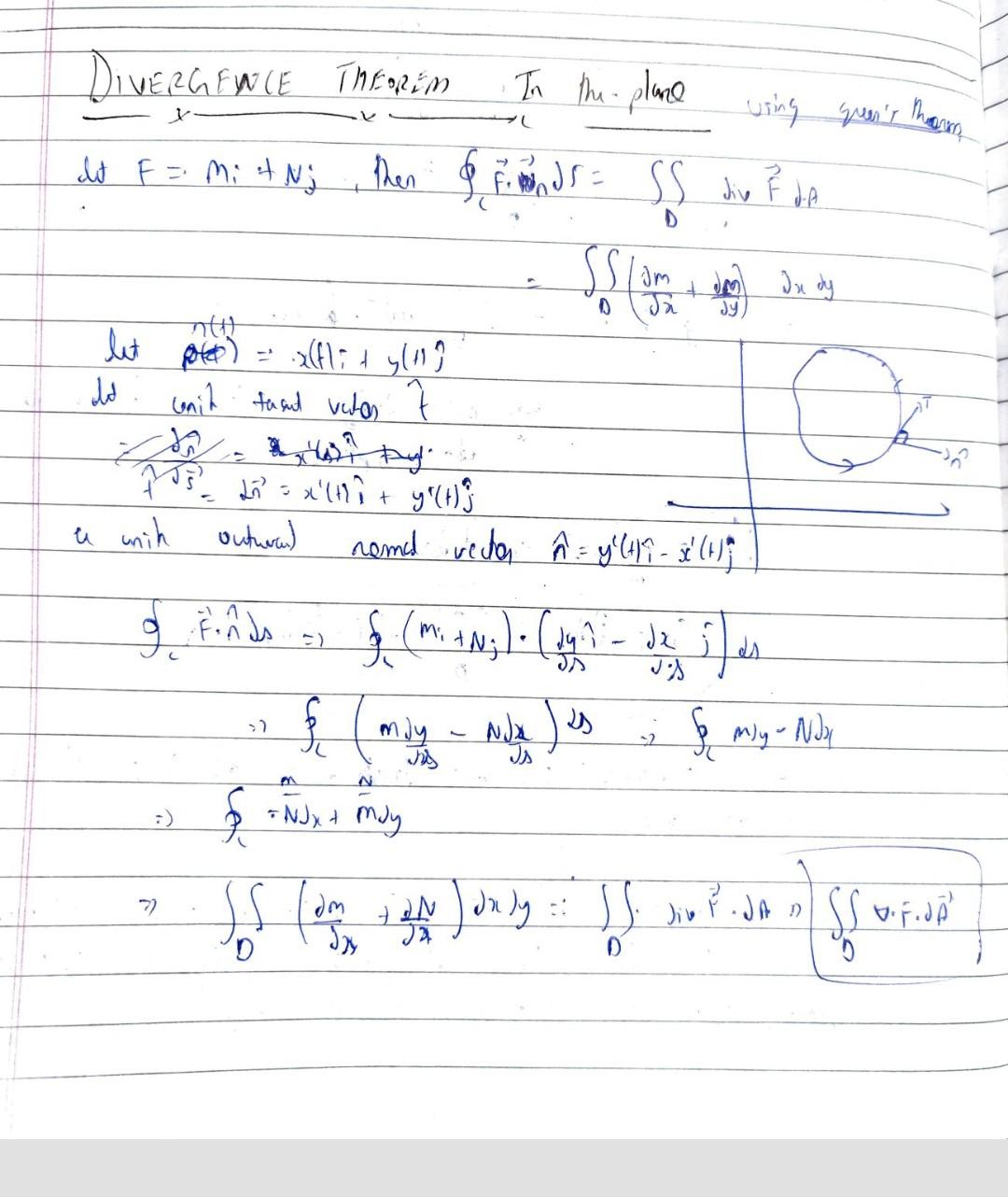
Refer attached option a is correct Its gauss divergence theorem in the plane using green theorem .
but in book they have given option a
can you share solution , if you have ..?
ok
same as also given in theory book also
ok
see this also
yes , option a is correct . its gauss divergence theorem in the plane using green theorem . I have updated above answer. please check , and if have doubt then ask...