Time management is very much important in IIT JAM. The eduncle test series for IIT JAM Mathematical Statistics helped me a lot in this portion. I am very thankful to the test series I bought from eduncle.
Nilanjan Bhowmick AIR 3, CSIR NET (Earth Science)
>


Deepak singh 1 Best Answer
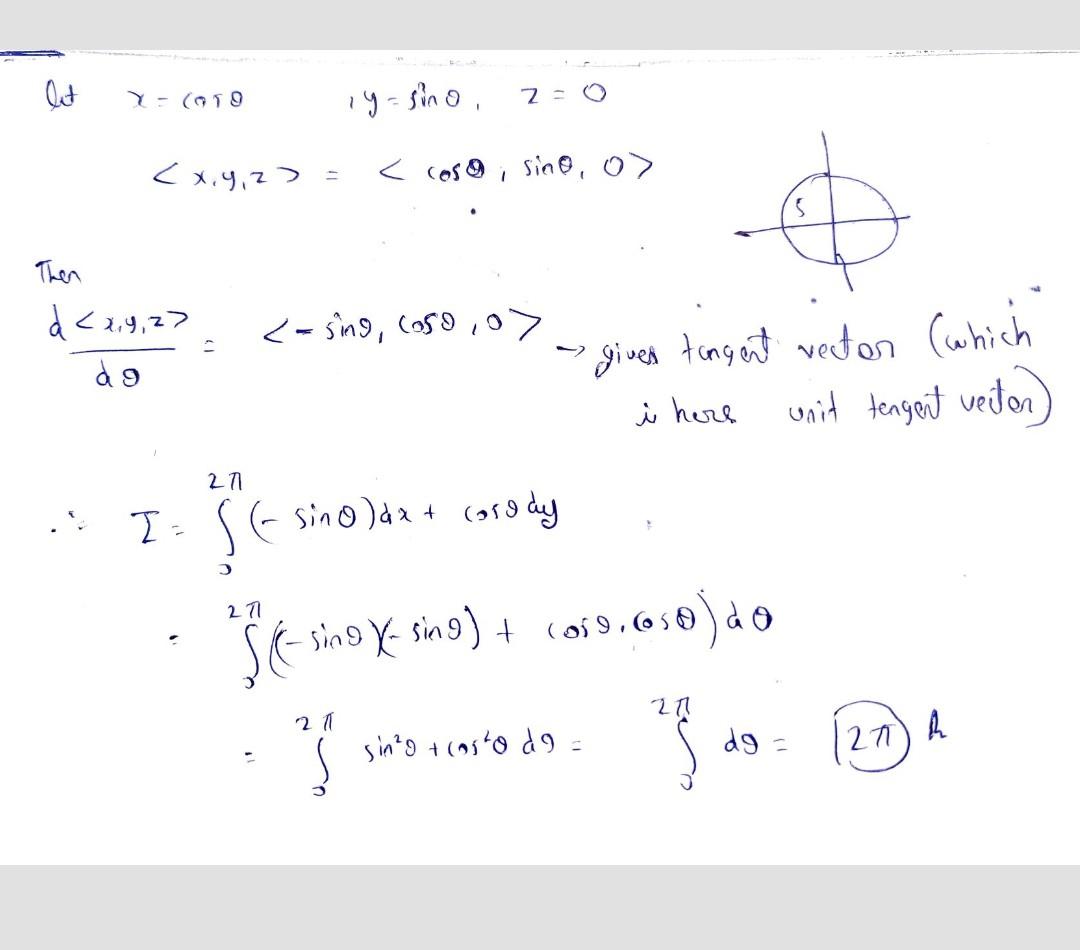
Refer attached solution answer is 2π
dr/dtetha gives tangent vector only then we want to find unit tangent vector know how can we take that as unit tangent vector
wait
see..
thanks that is my doubt
welcome..