Time management is very much important in IIT JAM. The eduncle test series for IIT JAM Mathematical Statistics helped me a lot in this portion. I am very thankful to the test series I bought from eduncle.
Nilanjan Bhowmick AIR 3, CSIR NET (Earth Science)
>



Alka gupta
see also this....
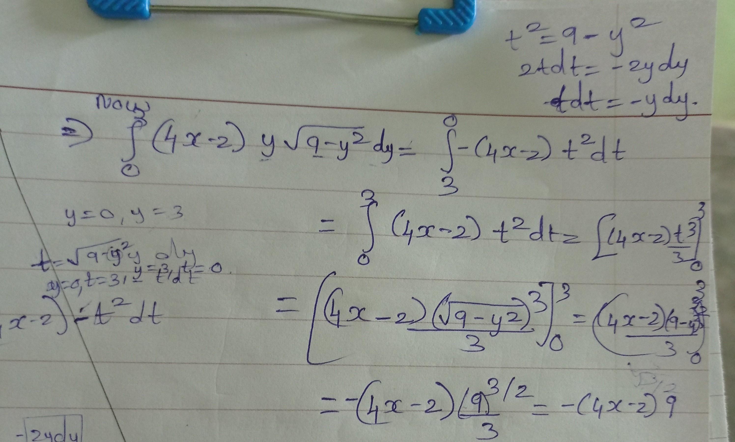
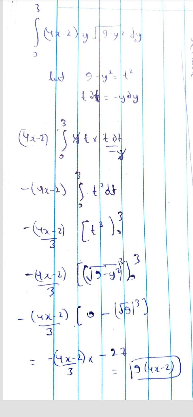
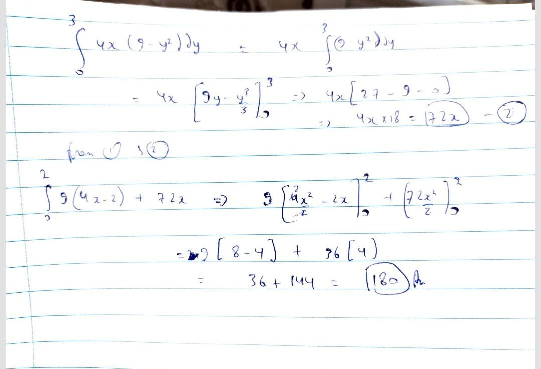
thanks for ur explanation last one doubt if we change the variable into t then we should only sub the limit value in t or we can sub limit value of y in variable t
if you are not change the limit y into t ...then you have to put the value of t after integration then put the limit of y....
but I suggest you " if you change the variable in integration then change the limit also in same variable ....