Time management is very much important in IIT JAM. The eduncle test series for IIT JAM Mathematical Statistics helped me a lot in this portion. I am very thankful to the test series I bought from eduncle.
Nilanjan Bhowmick AIR 3, CSIR NET (Earth Science)
>



Alka gupta
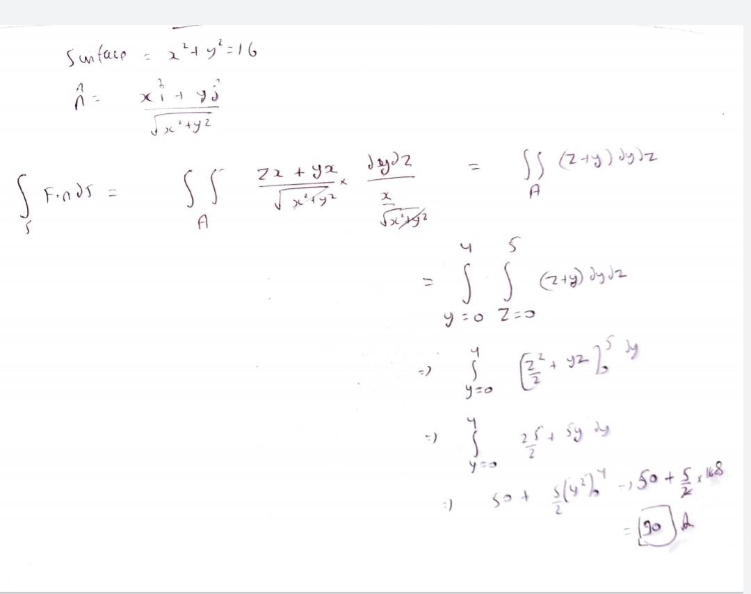
correct ans is 90....only can solve by surface integral see
how to know a problem can be solved only by surface integral
if in surface integral the condition of GD theorem not fulfill then we have no option ....and we have to solve by surface integral