Anku posted an Question
August 28, 2021 • 16:55 pm 30 points
  • IIT JAM
  • Mathematics (MA)

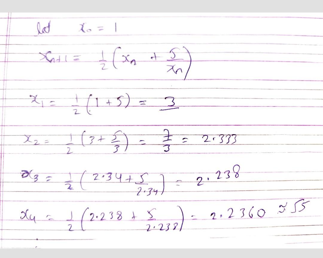
Can't we say this sequence as oscillatory sequence..i have attached my reason...pls once tell what i am missing

can't we say this sequence as oscillatory sequence..i have attached my explanation... . . .. . . . . . . .. .

1 Answer(s) Answer Now
  • 0 Likes
  • 1 Comments
  • 0 Shares
whatsapp-btn

Do You Want Better RANK in Your Exam?

Start Your Preparations with Eduncle’s FREE Study Material

  • Updated Syllabus, Paper Pattern & Full Exam Details
  • Sample Theory of Most Important Topic
  • Model Test Paper with Detailed Solutions
  • Last 5 Years Question Papers & Answers