Time management is very much important in IIT JAM. The eduncle test series for IIT JAM Mathematical Statistics helped me a lot in this portion. I am very thankful to the test series I bought from eduncle.
Nilanjan Bhowmick AIR 3, CSIR NET (Earth Science)
>


Arzoo Best Answer
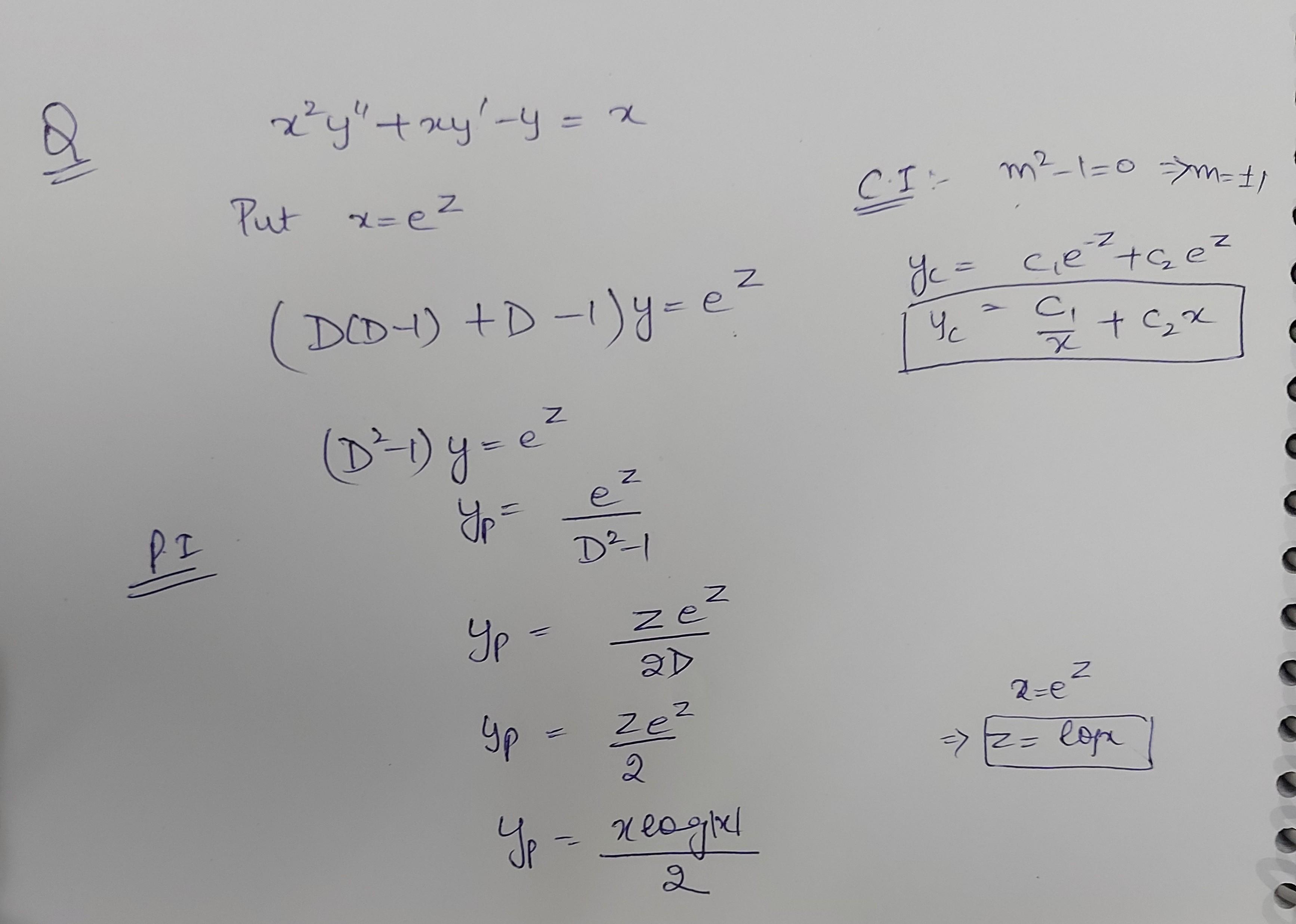
Particular integral of differential equation can be uncountable. So,for such type of questions you can use options or you can solve the question as i did in attachment