Time management is very much important in IIT JAM. The eduncle test series for IIT JAM Mathematical Statistics helped me a lot in this portion. I am very thankful to the test series I bought from eduncle.
Nilanjan Bhowmick AIR 3, CSIR NET (Earth Science)



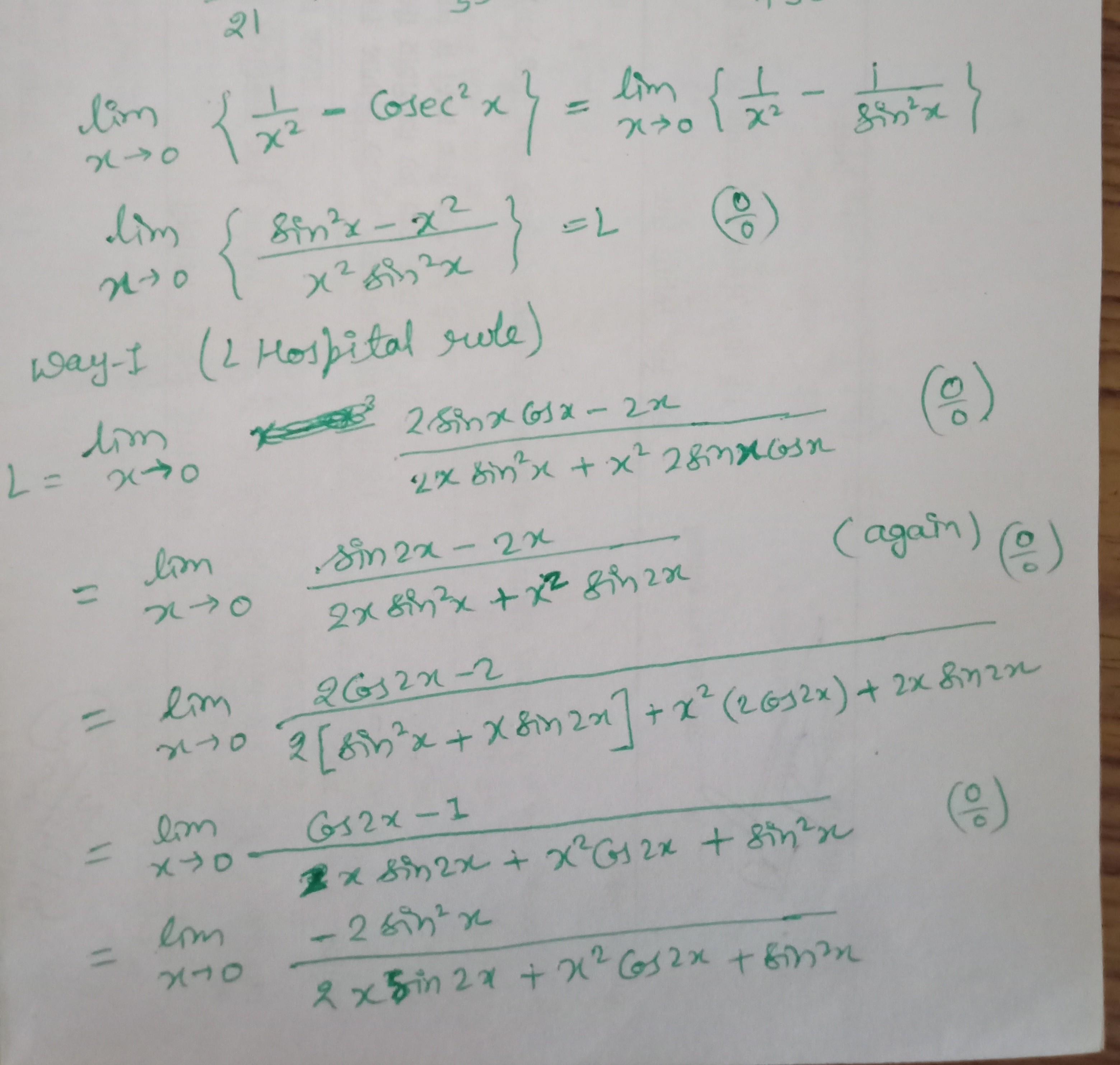
Priyadarshan Choursiya Best Answer
here you cancel infinity by infinity which is not absurd.
Thank u sir... I got your point..