Time management is very much important in IIT JAM. The eduncle test series for IIT JAM Mathematical Statistics helped me a lot in this portion. I am very thankful to the test series I bought from eduncle.
Nilanjan Bhowmick AIR 3, CSIR NET (Earth Science)
>



Chandra prakash
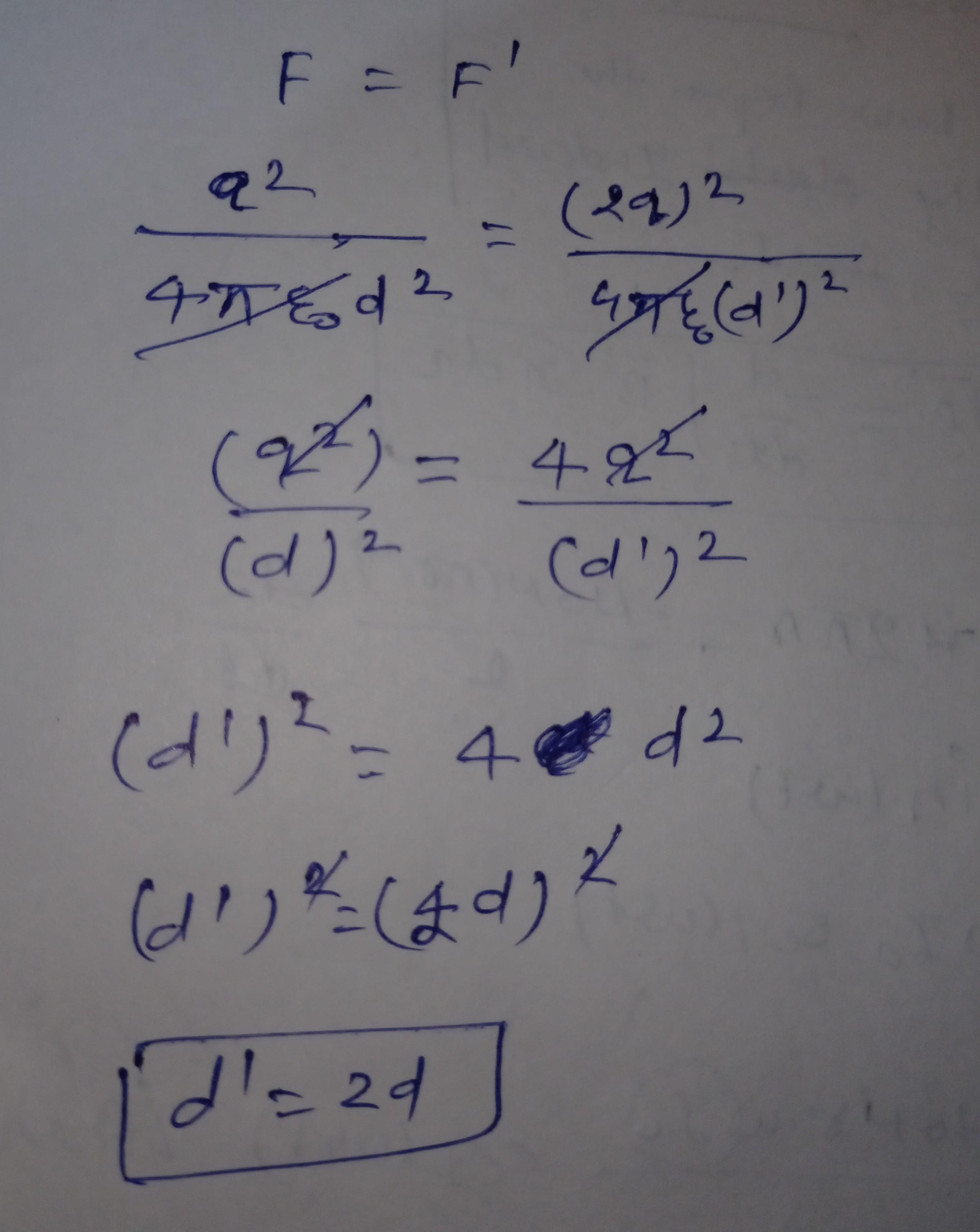
dear see this.....u get 4d ...and put the value in equation and see..I did it..see attachment,so 2d is correct answer....
hope you get it