Time management is very much important in IIT JAM. The eduncle test series for IIT JAM Mathematical Statistics helped me a lot in this portion. I am very thankful to the test series I bought from eduncle.
Nilanjan Bhowmick AIR 3, CSIR NET (Earth Science)
>


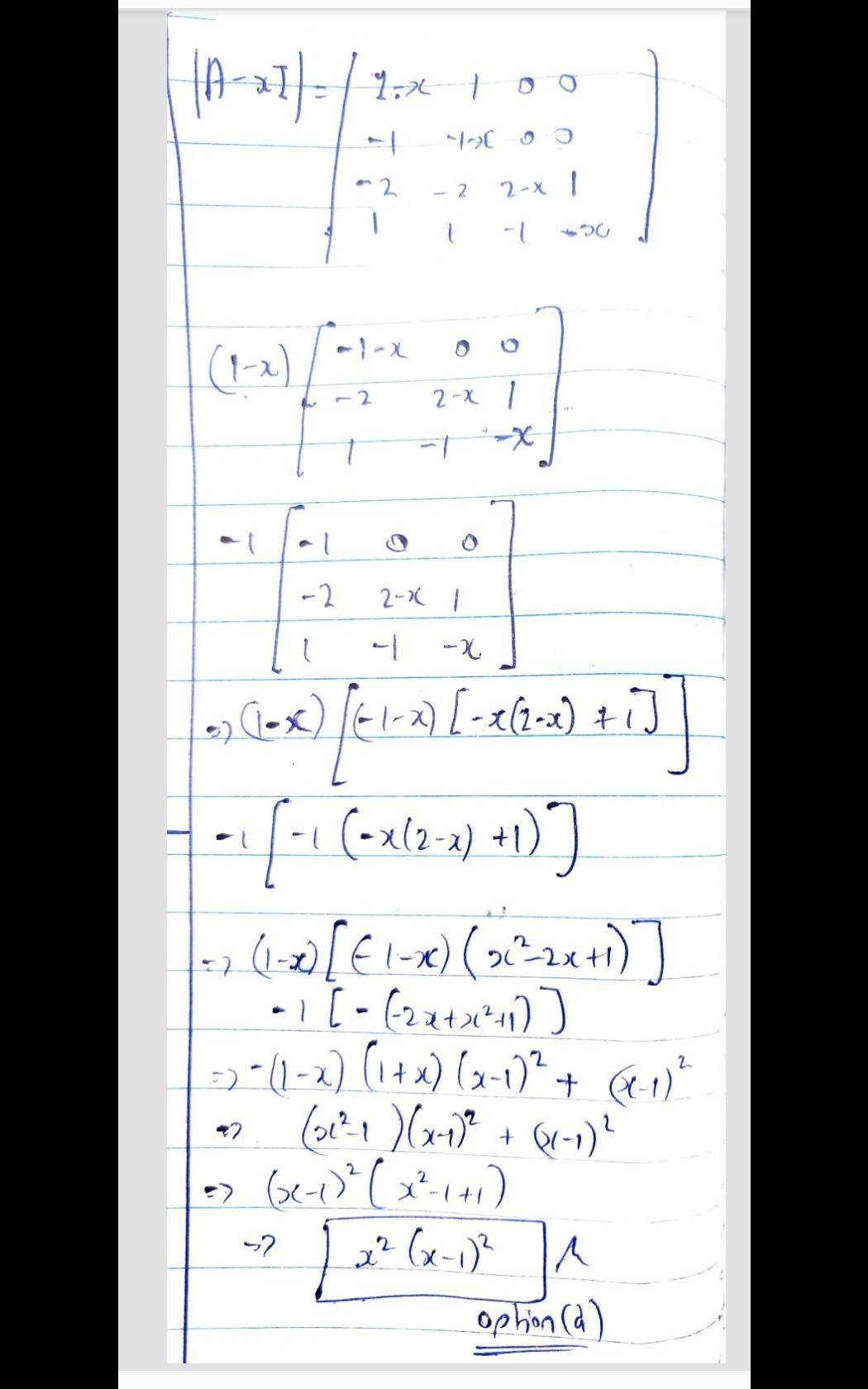
Deepak singh 1 Best Answer
Refer attached
how will I find the characteristic equation if my matrix is of higher-order?
for higher order , there will be always some special type of group ( jordan , diagonal , triangular , etc )