Time management is very much important in IIT JAM. The eduncle test series for IIT JAM Mathematical Statistics helped me a lot in this portion. I am very thankful to the test series I bought from eduncle.
Nilanjan Bhowmick AIR 3, CSIR NET (Earth Science)


Shreyasi majumdar 1 Best Answer
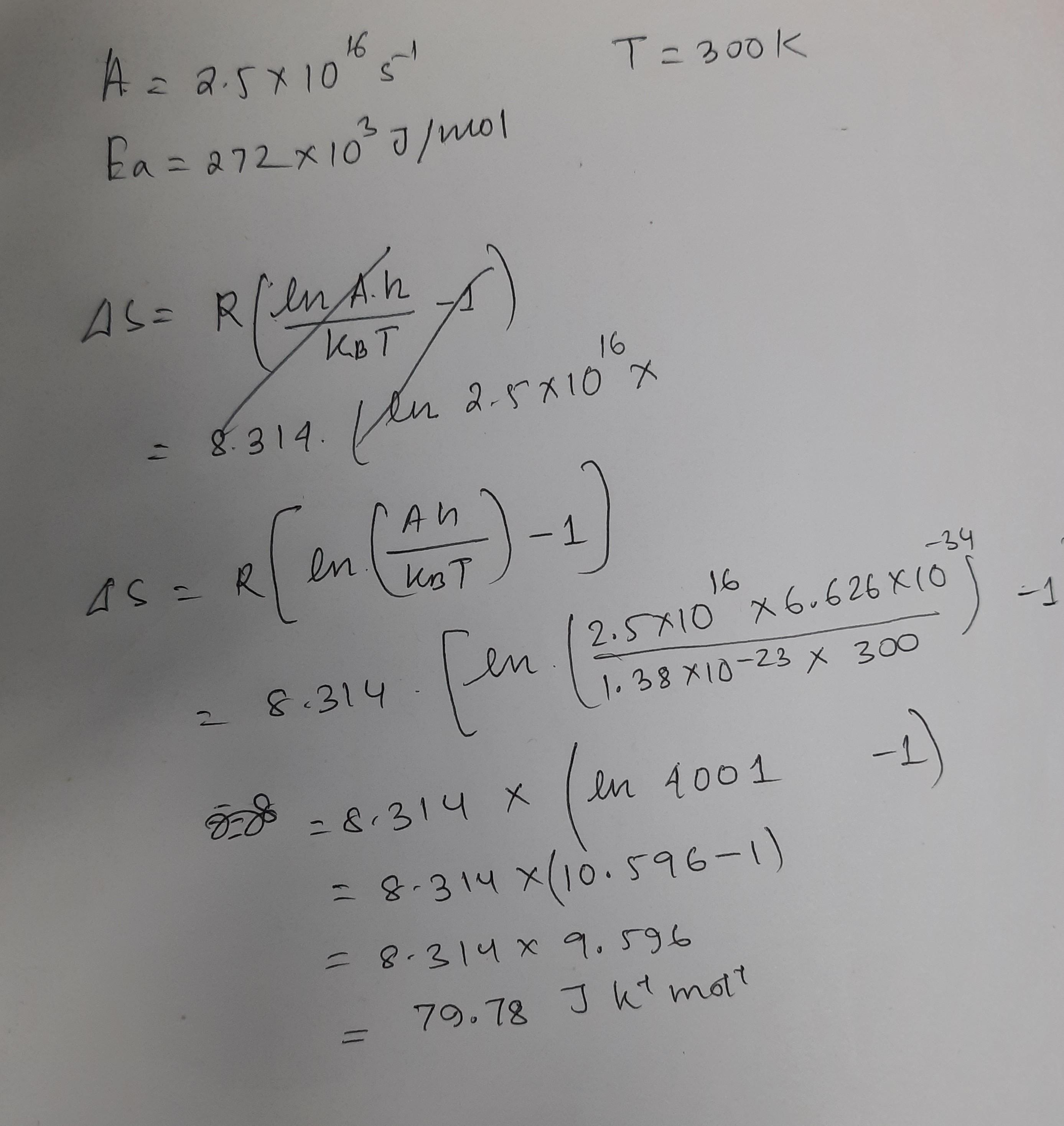
refer image
mam why del H zero in this case
del H is not zero. The formula used is attached as well as a sample example