Ashwini posted an Question
January 31, 2021 • 15:28 pm 30 points
  • IIT JAM
  • Mathematics (MA)

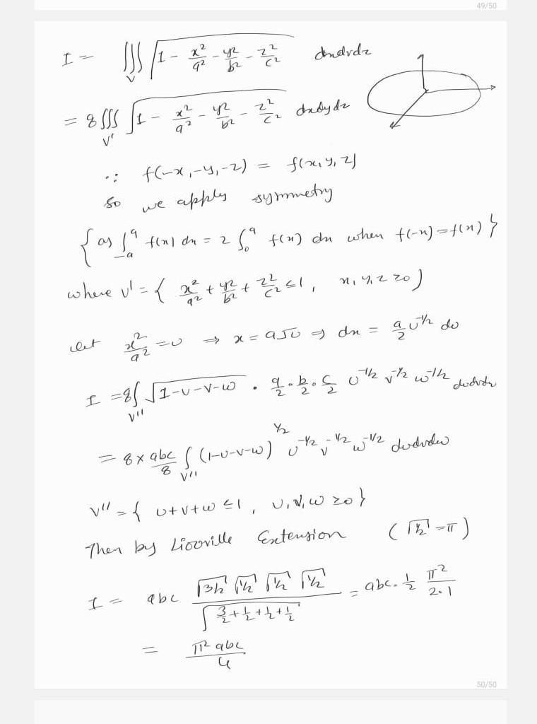
Compute z2 dx dy dz b taken over the region x/a2 + y/b2 + z2/c2<1 tabc tabc (a) (b) 4 4 abc (c) (d) none a 1call t

Compute z2 dx dy dz b taken over the region x/a2 + y/b2 + z2/c2<1 Tabc tabc (A) (B) 4 4 abc (C) (D) None A 1Call T

1 Answer(s) Answer Now
  • 0 Likes
  • 1 Comments
  • 0 Shares
whatsapp-btn

Do You Want Better RANK in Your Exam?

Start Your Preparations with Eduncle’s FREE Study Material

  • Updated Syllabus, Paper Pattern & Full Exam Details
  • Sample Theory of Most Important Topic
  • Model Test Paper with Detailed Solutions
  • Last 5 Years Question Papers & Answers