Time management is very much important in IIT JAM. The eduncle test series for IIT JAM Mathematical Statistics helped me a lot in this portion. I am very thankful to the test series I bought from eduncle.
Nilanjan Bhowmick AIR 3, CSIR NET (Earth Science)


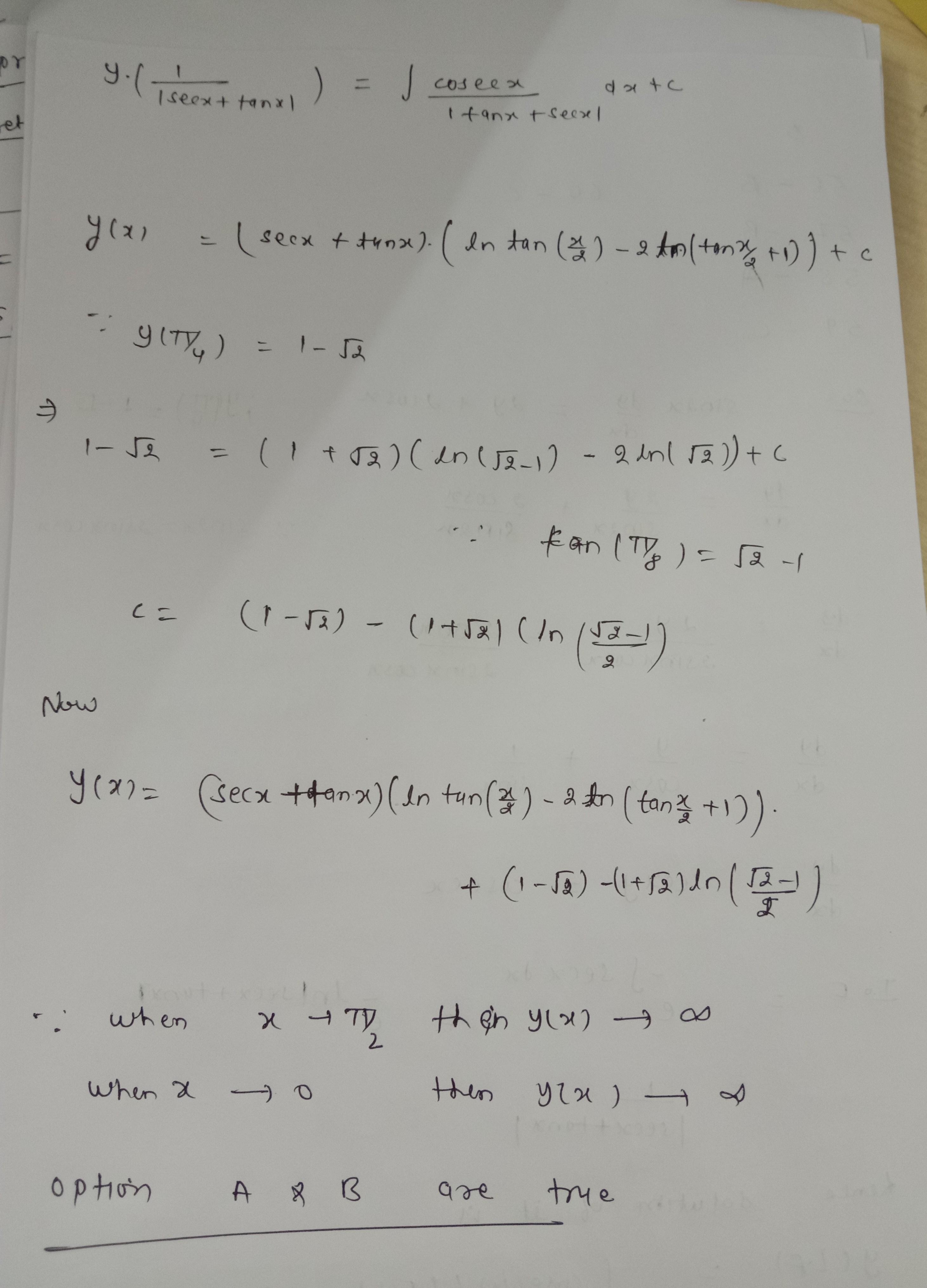
Anonymous User
See attachment below
but C and D are the answers
The value of tan(0) =0 . hence ln(0) is undefined. so it's unbounded
okay
look at it
sin3x how it's possible here
see the terms
sin2x should be there