Nandani posted an Question
April 17, 2022 • 04:48 am 30 points
  • IIT JAM
  • Mathematics (MA)

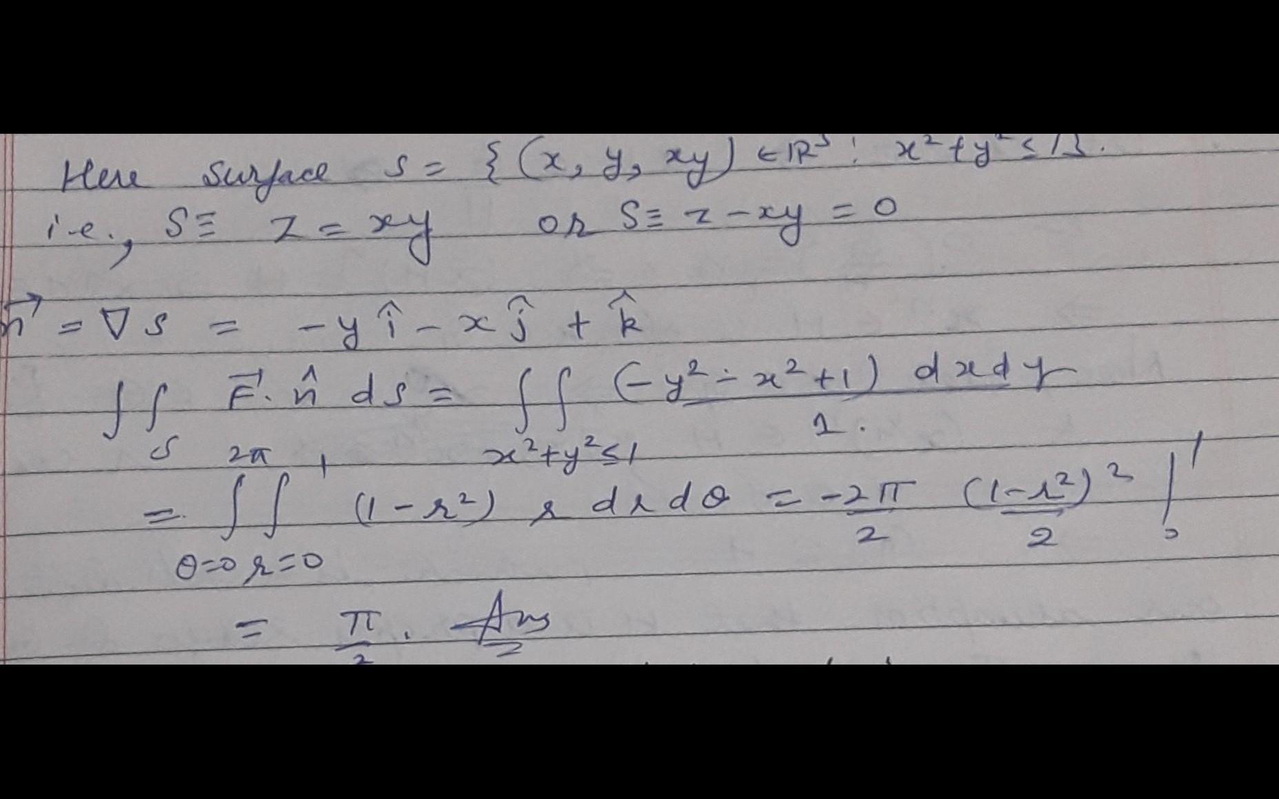
Consud en hhe aunpaco seik, 3, s l fyitxft 1/ h u the nit nasraield the awfaco s oithpeitive z cobontta the fds js 172 (d)2-t c 7 77

Consud en Hhe Aunpaco Seik, 3, s L Fyitxft 1/ h u the nit nasraield the Awfaco S oithpeitive Z Cobontta The Fds Js 172 (D)2-T C 7 77

1 Answer(s) Answer Now
  • 0 Likes
  • 1 Comments
  • 0 Shares
whatsapp-btn

Do You Want Better RANK in Your Exam?

Start Your Preparations with Eduncle’s FREE Study Material

  • Updated Syllabus, Paper Pattern & Full Exam Details
  • Sample Theory of Most Important Topic
  • Model Test Paper with Detailed Solutions
  • Last 5 Years Question Papers & Answers