Time management is very much important in IIT JAM. The eduncle test series for IIT JAM Mathematical Statistics helped me a lot in this portion. I am very thankful to the test series I bought from eduncle.
Nilanjan Bhowmick AIR 3, CSIR NET (Earth Science)
>


Ujjawal vishal Best Answer
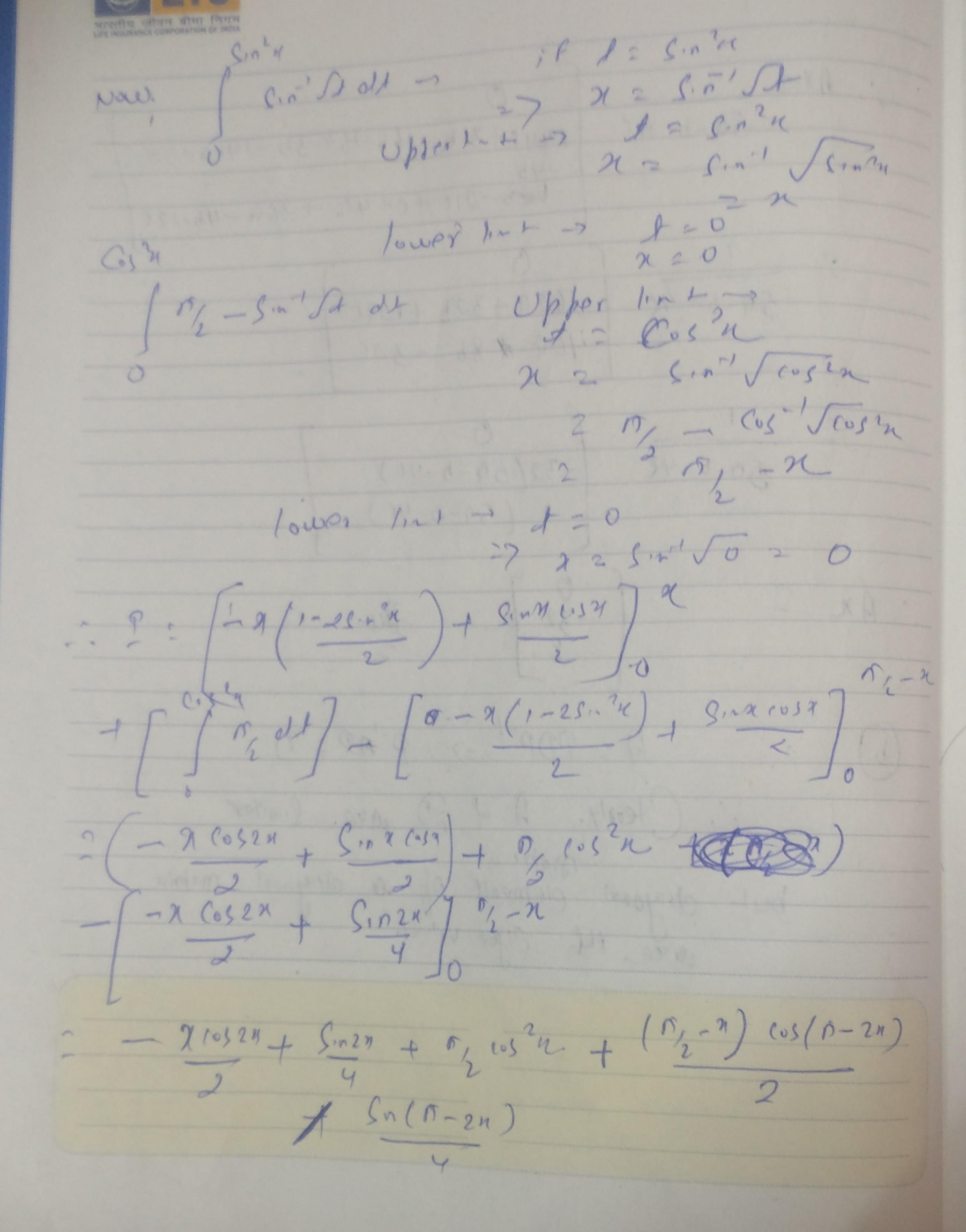
solution attached
how do we get upper limit of first integral in terms of X?
see the 2nd page ,there i have shown how to change limits...