profile-img
Pragya posted an Question
November 16, 2021 • 03:23 am 30 points
  • IIT JAM
  • Mathematics (MA)

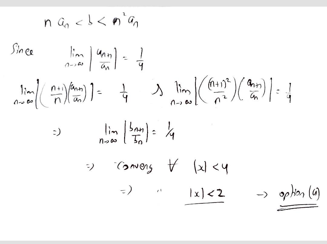
(d) 4(x + y + 4z) g'"(x +y-2z ) + 8g" (x + y -22) 4. let (anin=o and {b,}n-o be sequences of positive real numbers such that na,

(d) 4(x + y + 4z) g'"(x +y-2z ) + 8g" (X + Y -22) 4. Let (anin=o and {b,}n-o be sequences of positive real numbers such that na, 2 (C)does not converge for any x with |x>2 (d) does not converge tor any X With |X<2

1 Answer(s) Answer Now
  • 0 Likes
  • 1 Comments
  • 0 Shares

whatsapp-btn

Do You Want Better RANK in Your Exam?

Start Your Preparations with Eduncle’s FREE Study Material

  • Updated Syllabus, Paper Pattern & Full Exam Details
  • Sample Theory of Most Important Topic
  • Model Test Paper with Detailed Solutions
  • Last 5 Years Question Papers & Answers