Time management is very much important in IIT JAM. The eduncle test series for IIT JAM Mathematical Statistics helped me a lot in this portion. I am very thankful to the test series I bought from eduncle.
Nilanjan Bhowmick AIR 3, CSIR NET (Earth Science)
>

>


Suman Kumar
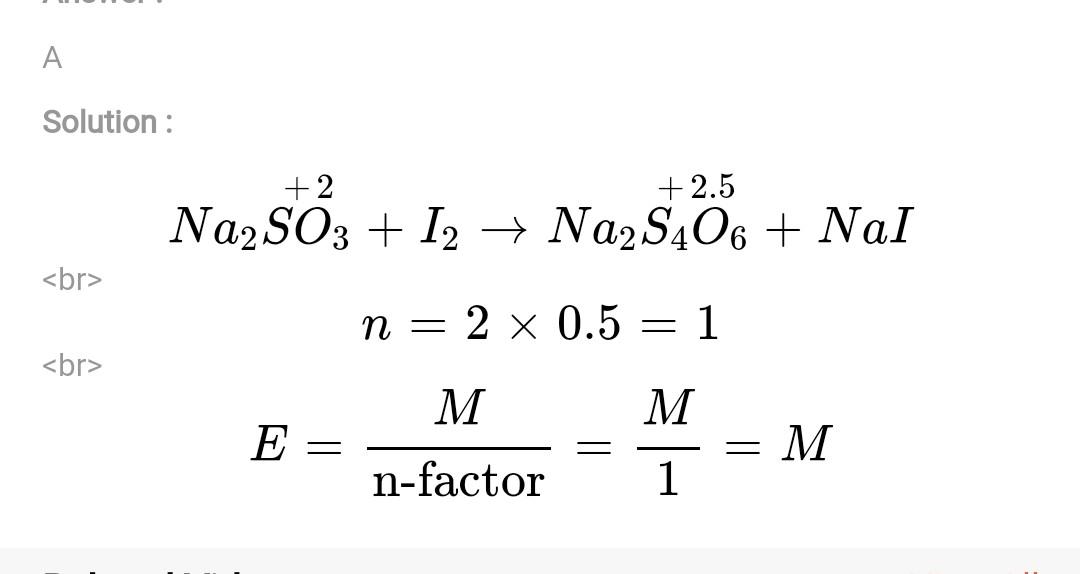
https://doubtnut.com/minute-question-answer/in-the-reaction-2naas2o3-i2-rarr-na2s4o6-2nai-the-equivalent-weight-of-na2s2o3-mol-wt-m-is-equal-to-12224877