Time management is very much important in IIT JAM. The eduncle test series for IIT JAM Mathematical Statistics helped me a lot in this portion. I am very thankful to the test series I bought from eduncle.
Nilanjan Bhowmick AIR 3, CSIR NET (Earth Science)
>
>



Priyanshu kumar
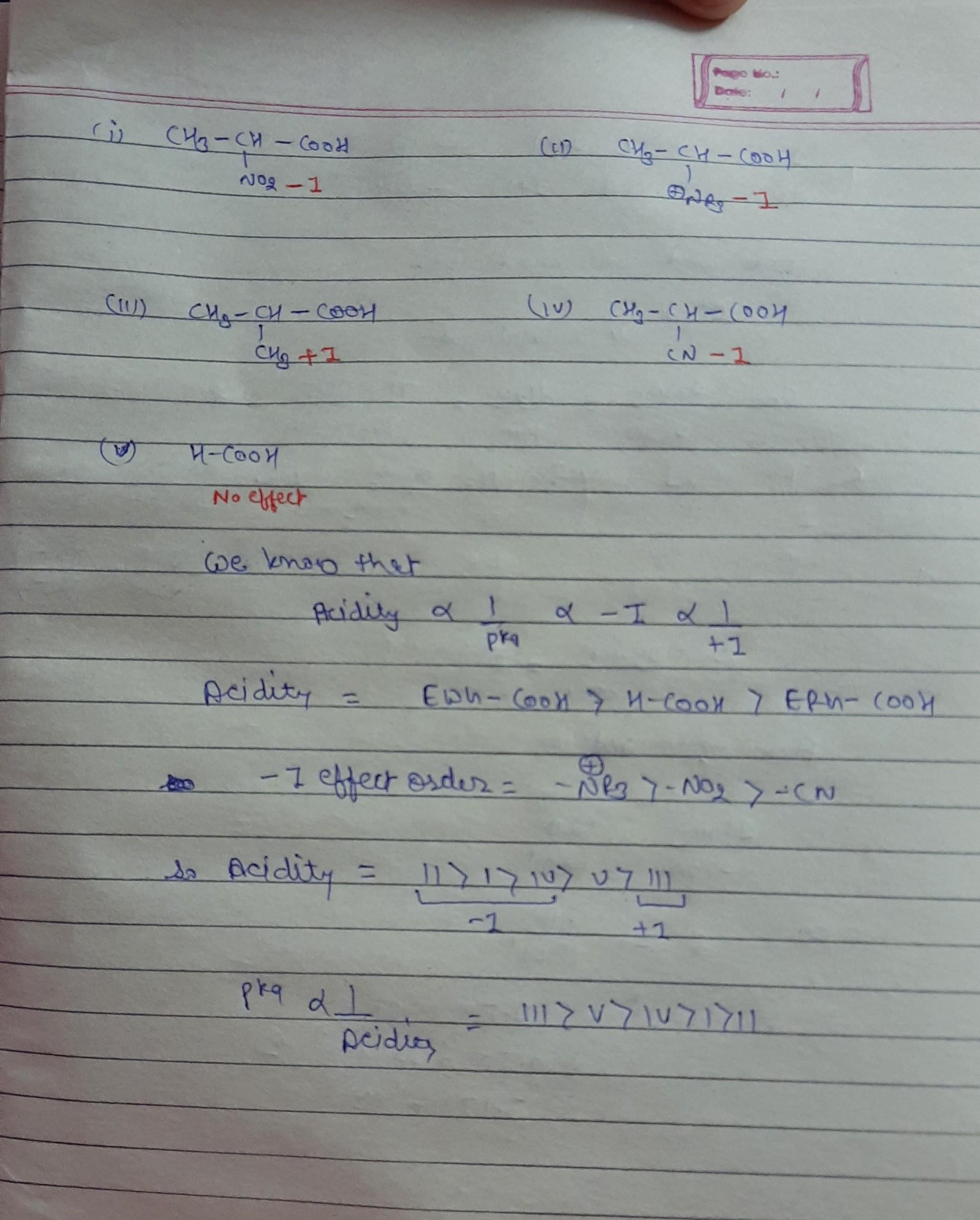
3>5>4>1>2 This is the order of decreasing pka
got this?
3>5>4>1>2 yehi order ayega na ? decreasing pka ka
haa