Ankur posted an Question
February 01, 2021 • 21:24 pm 30 points
  • IIT JAM
  • Mathematics (MA)

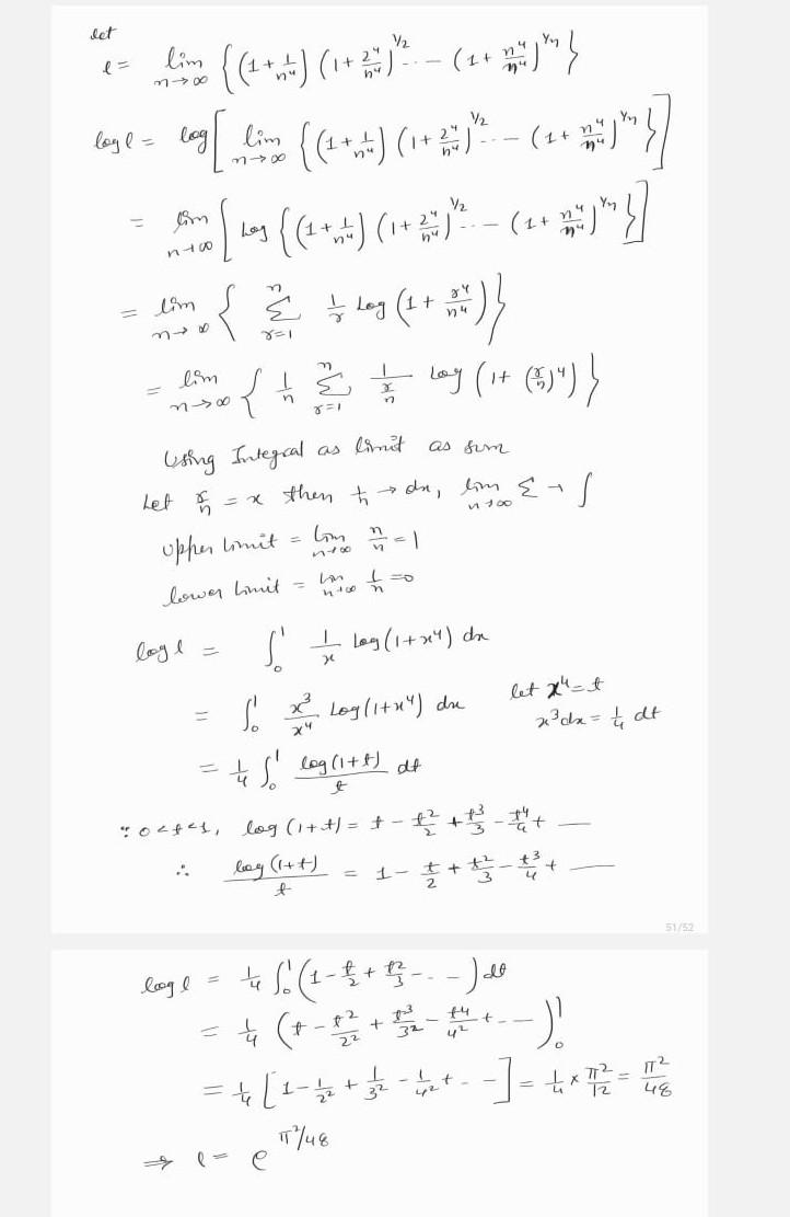
Dete poge h jin h 2 6

Dete Poge h Jin h 2 6 ..............................................

1 Answer(s) Answer Now
  • 0 Likes
  • 2 Comments
  • 0 Shares
whatsapp-btn

Do You Want Better RANK in Your Exam?

Start Your Preparations with Eduncle’s FREE Study Material

  • Updated Syllabus, Paper Pattern & Full Exam Details
  • Sample Theory of Most Important Topic
  • Model Test Paper with Detailed Solutions
  • Last 5 Years Question Papers & Answers