Time management is very much important in IIT JAM. The eduncle test series for IIT JAM Mathematical Statistics helped me a lot in this portion. I am very thankful to the test series I bought from eduncle.
Nilanjan Bhowmick AIR 3, CSIR NET (Earth Science)


Srj
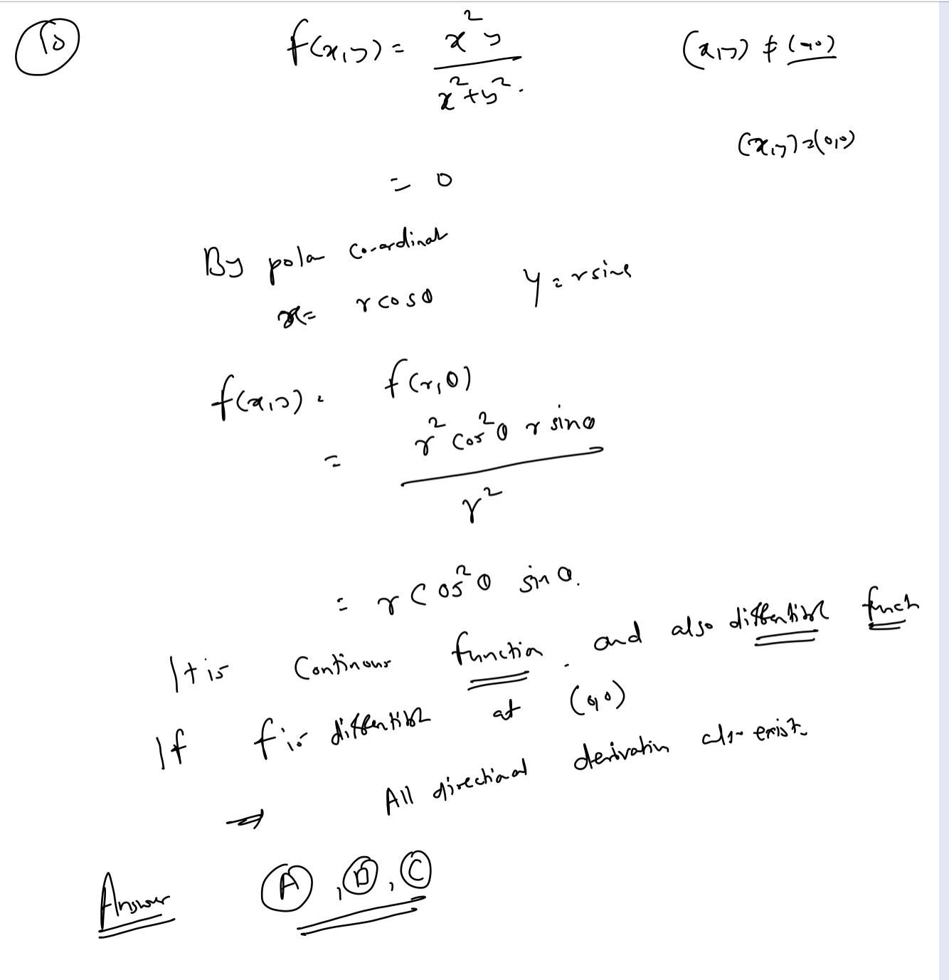
answer a,b,c pls see attached file
it is not differentiable acc. to answer sheet.
yes you are correct. sorry for mistake. pls have a look at thua