Time management is very much important in IIT JAM. The eduncle test series for IIT JAM Mathematical Statistics helped me a lot in this portion. I am very thankful to the test series I bought from eduncle.
Nilanjan Bhowmick AIR 3, CSIR NET (Earth Science)
>


Somnath Best Answer
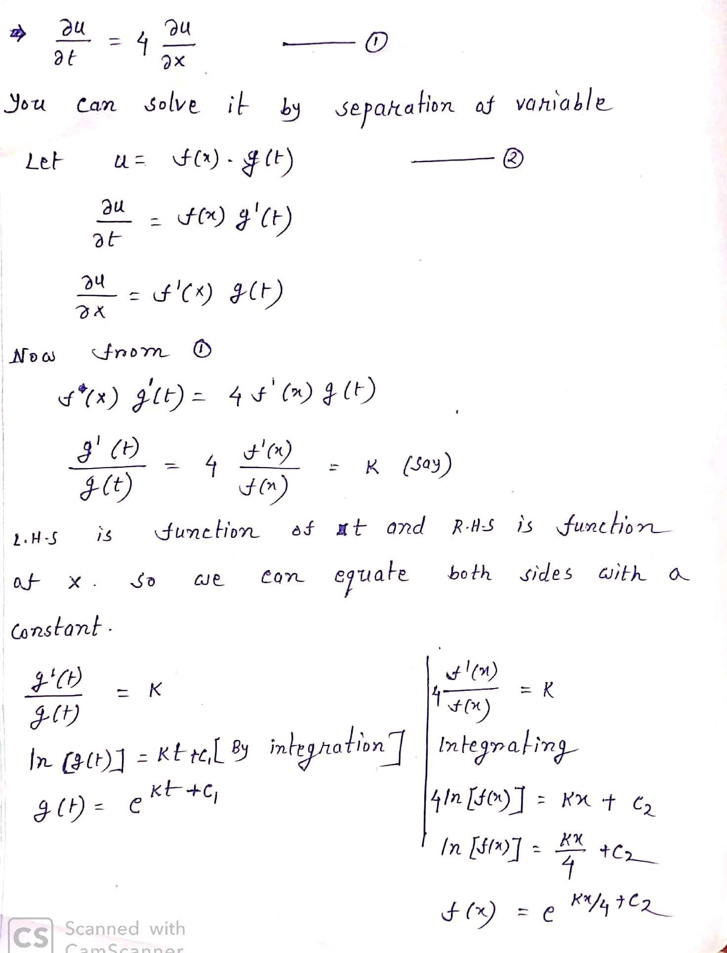
You can solve the equation by using separation of variable method to get the answer.But you will not get the value of the constants as no boundary conditions are given. For this type of M.C.Q questions you can check the options also. Both Methods are given in the attached files.