Aditya Panda posted an Question
January 21, 2022 • 05:21 am 30 points
  • IIT JAM
  • Physics (PH)

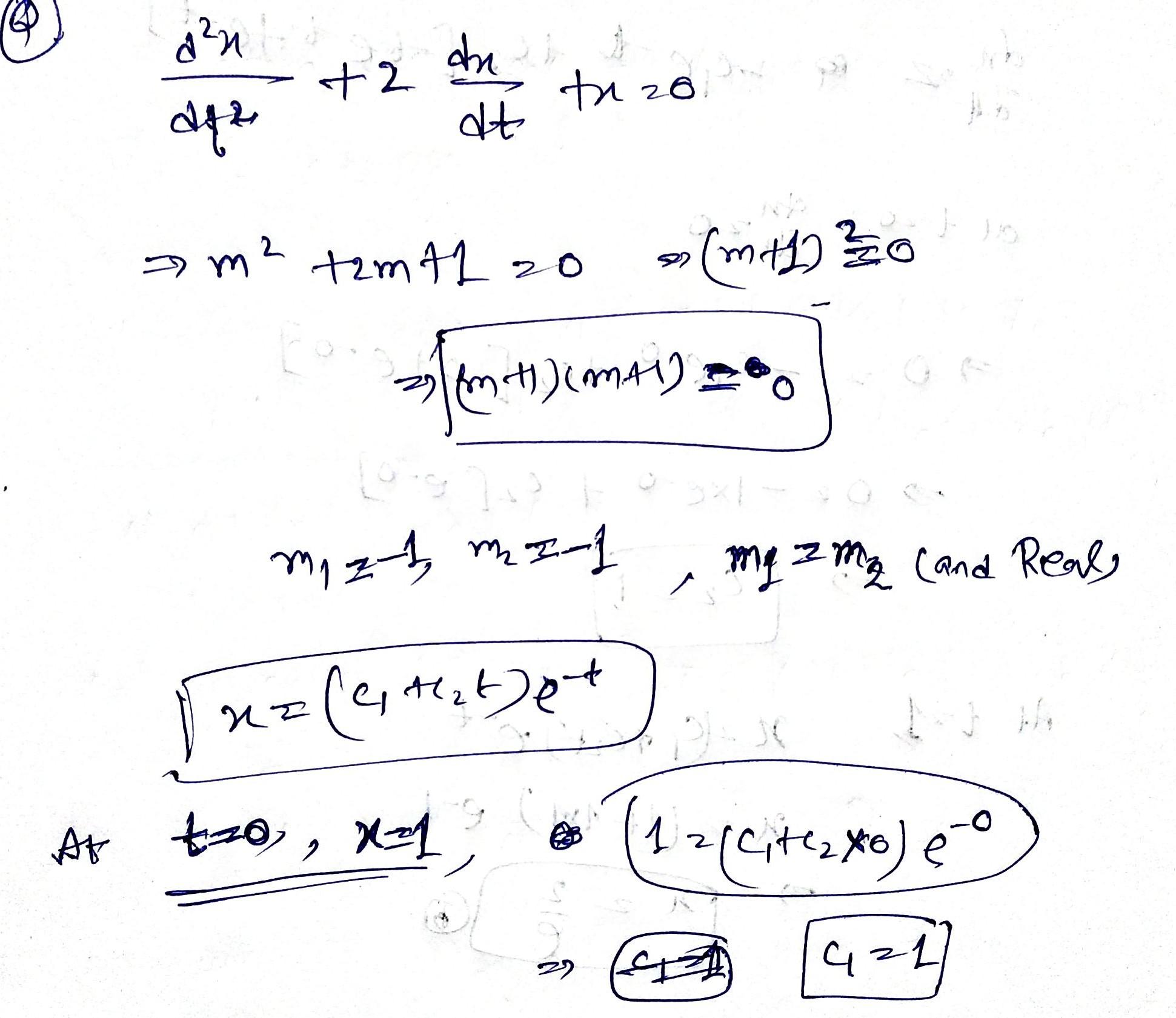
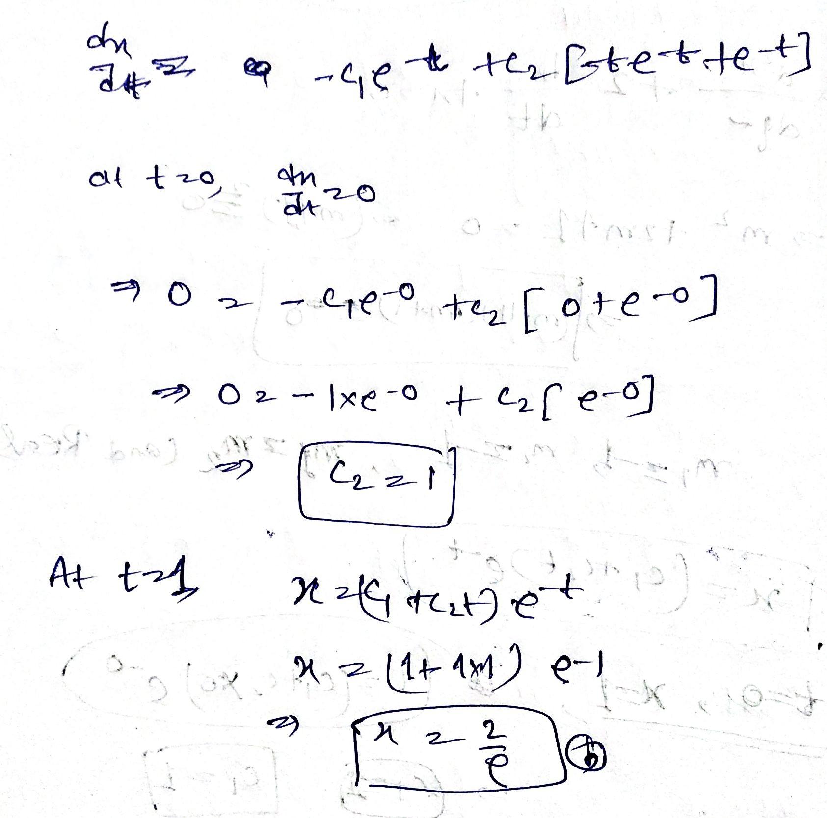
Differential equation the 33. consider axl d+2dx/ dl+x = 0. at time t = 0, it is given thatx= 1 and dx/dt = 0, at t=1, the value of x is given by 2 (b e (a) 3 (

differential equation the 33. Consider axl d+2dx/ dl+x = 0. At time t = 0, it is given thatx= 1 and dx/dt = 0, At t=1, the value of x is given by 2 (b e (a) 3 (d) e (c) 1

1 Answer(s) Answer Now
  • 0 Likes
  • 1 Comments
  • 0 Shares
whatsapp-btn

Do You Want Better RANK in Your Exam?

Start Your Preparations with Eduncle’s FREE Study Material

  • Updated Syllabus, Paper Pattern & Full Exam Details
  • Sample Theory of Most Important Topic
  • Model Test Paper with Detailed Solutions
  • Last 5 Years Question Papers & Answers