Time management is very much important in IIT JAM. The eduncle test series for IIT JAM Mathematical Statistics helped me a lot in this portion. I am very thankful to the test series I bought from eduncle.
Nilanjan Bhowmick AIR 3, CSIR NET (Earth Science)



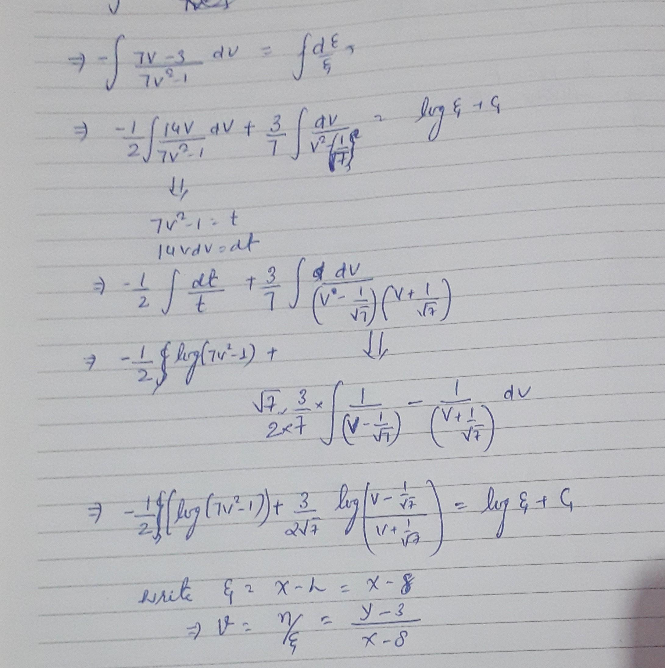
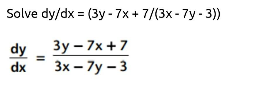
Animesh anand Best Answer
Kindly reconsider your question because it seems to have some ambiguity for your consideration I'm attaching the same question that you've asked (yours is incorrect i guess) and here the answer is matching perfectly. Just take negative sign common from the denominator and you will get to see the question in the form given