Nandani posted an Question
April 17, 2022 • 05:23 am 30 points
  • IIT JAM
  • Mathematics (MA)

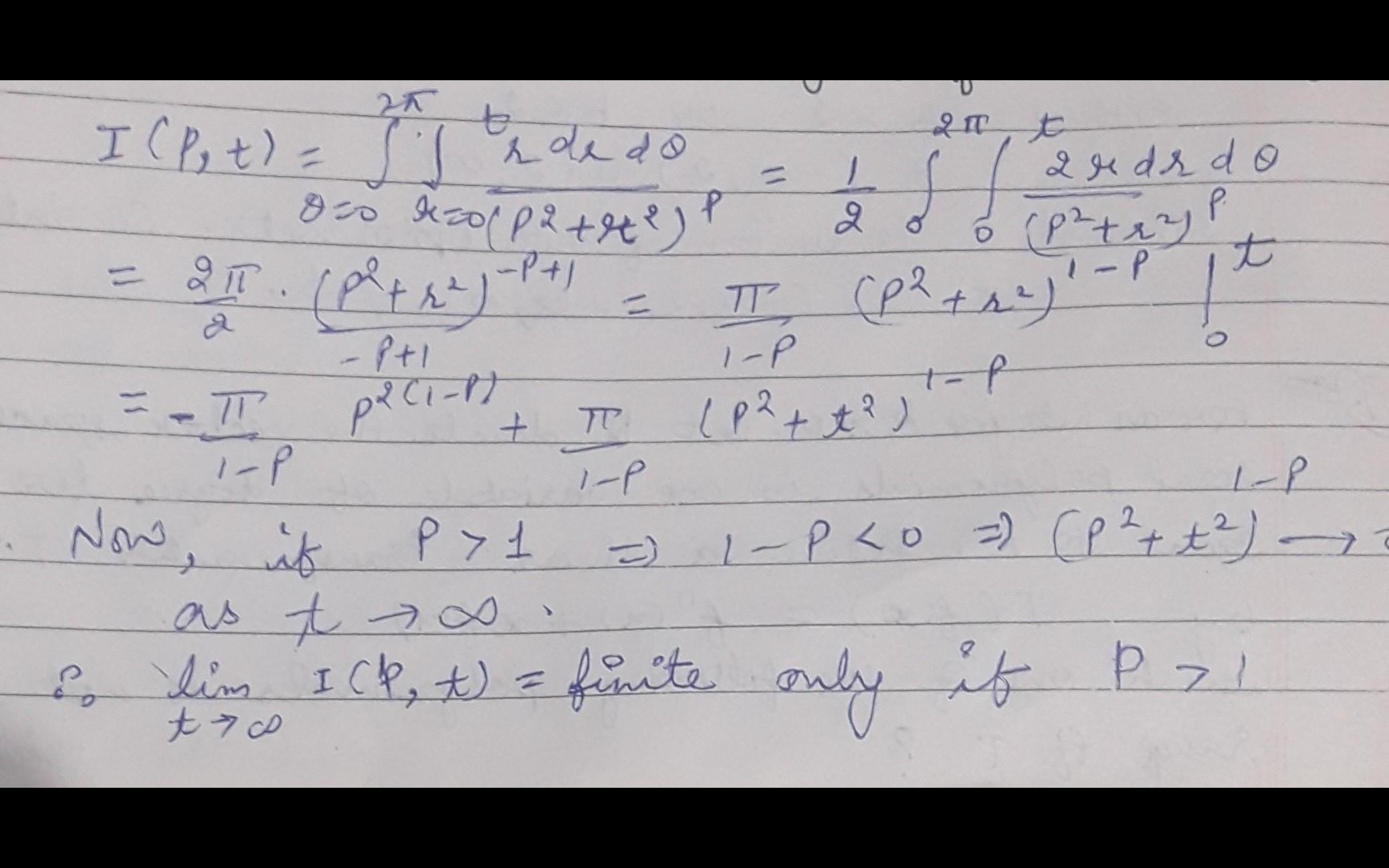
| e_p aned be boitie ual bek ut d be h osed diic e adiu t cestard at co,o) cz,) er dad delse d i(p, t luit p nly p> q ane se

| E_p aned be boitie ual bek ut D be H osed diic e adiu t Cestard at Co,o) CZ,) eR dad Delse D I(P, t Luit P nly P> Q ane Se

1 Answer(s) Answer Now
  • 0 Likes
  • 1 Comments
  • 0 Shares
whatsapp-btn

Do You Want Better RANK in Your Exam?

Start Your Preparations with Eduncle’s FREE Study Material

  • Updated Syllabus, Paper Pattern & Full Exam Details
  • Sample Theory of Most Important Topic
  • Model Test Paper with Detailed Solutions
  • Last 5 Years Question Papers & Answers