Time management is very much important in IIT JAM. The eduncle test series for IIT JAM Mathematical Statistics helped me a lot in this portion. I am very thankful to the test series I bought from eduncle.
Nilanjan Bhowmick AIR 3, CSIR NET (Earth Science)
>
>
>


Muhammed ali Ali
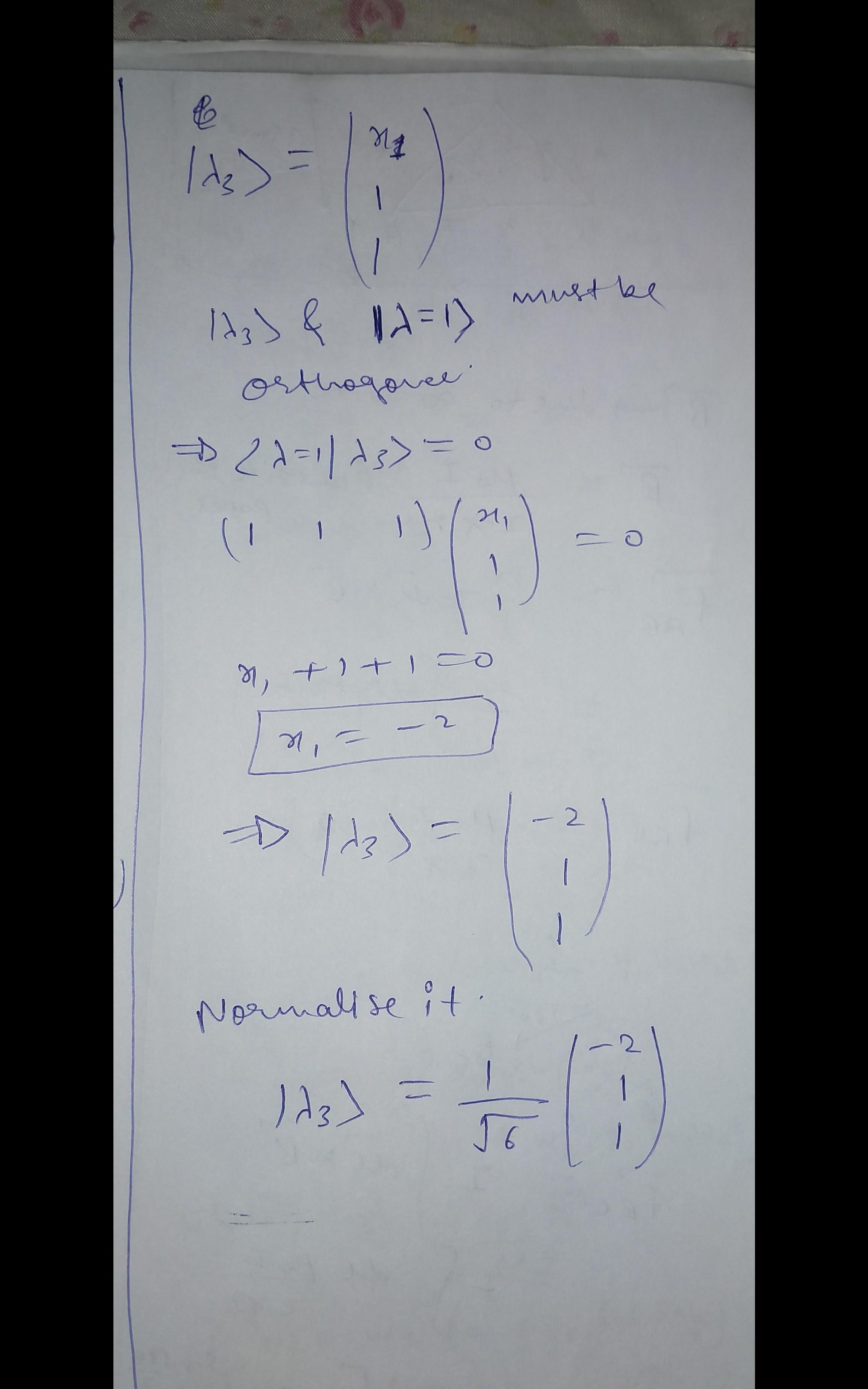
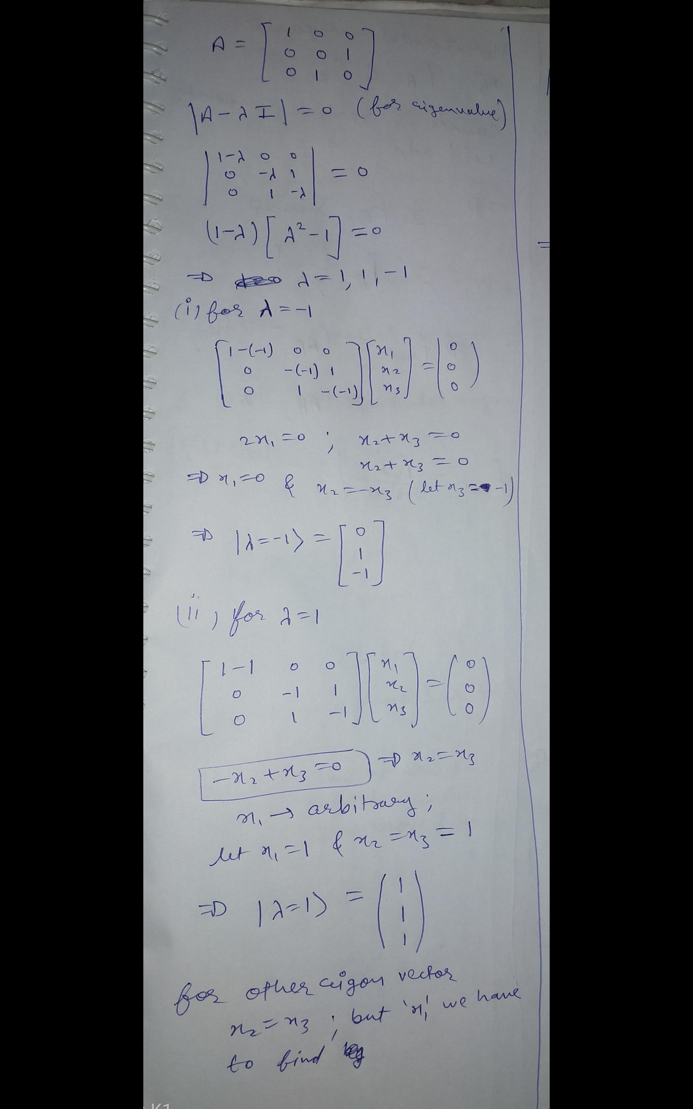
i confused with the solution given in the material
don't get confuse, in the solution, they only do normalisation of eigen vectors... Also note when eigen values are different, they are called non degenerate eigen values while when eigen values are same, they are called degenerate eigen values... different eigen values have different eigen vectors.. i