Time management is very much important in IIT JAM. The eduncle test series for IIT JAM Mathematical Statistics helped me a lot in this portion. I am very thankful to the test series I bought from eduncle.
Nilanjan Bhowmick AIR 3, CSIR NET (Earth Science)
>


Deepak singh 1 Best Answer
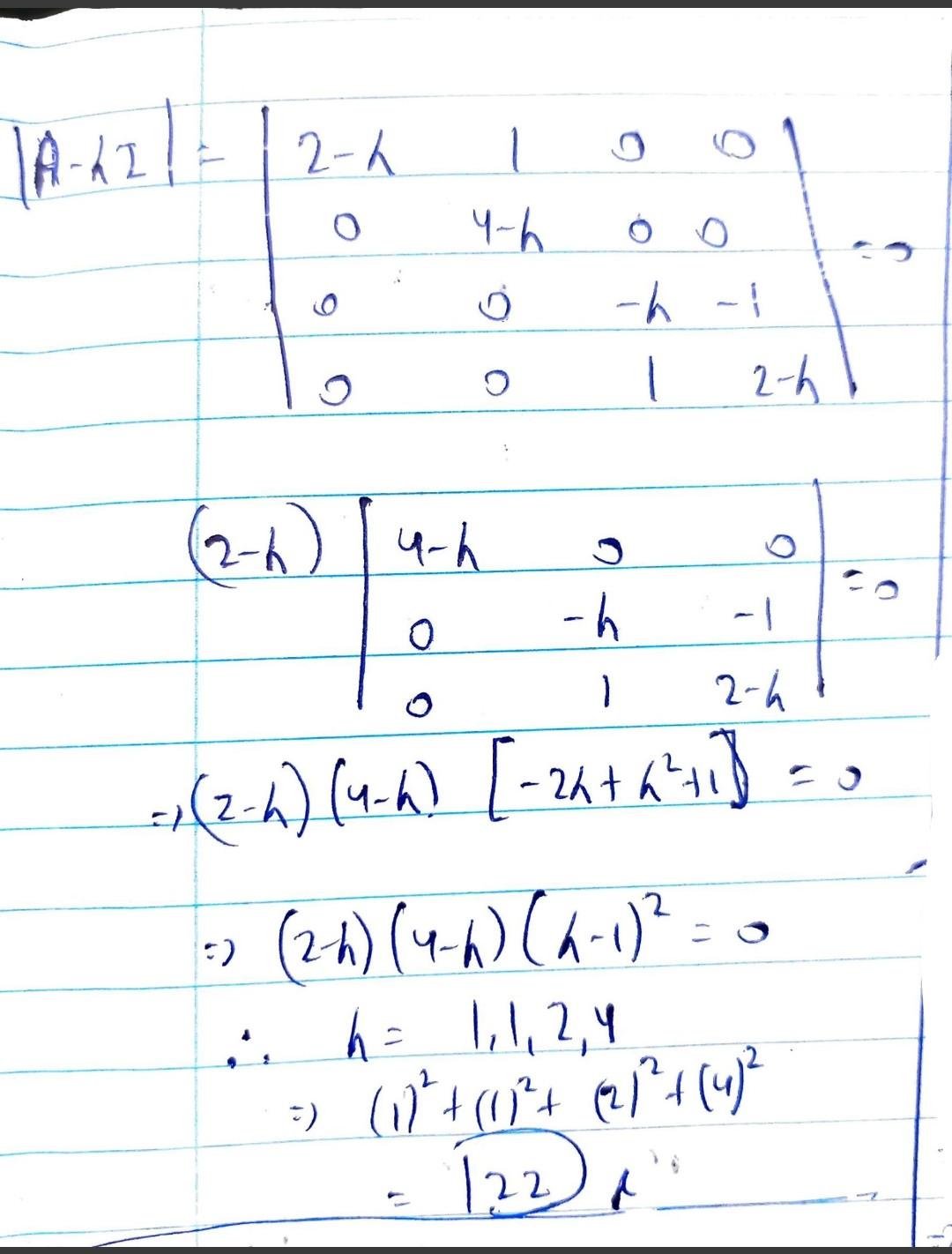
Refer attached Answer is 22
correct answer is 6
wait
Refer attached , answer is 6
former solution of yours was incorrect because you applied row transformation to the matrix which changes the eigenvalues, right sir?
No , previous one was different question . I was solving another similar question , mistakely take another matrix here . And yes , Row transformation changes eigen values . Don't do any row transformation while finding eigen values