Time management is very much important in IIT JAM. The eduncle test series for IIT JAM Mathematical Statistics helped me a lot in this portion. I am very thankful to the test series I bought from eduncle.
Nilanjan Bhowmick AIR 3, CSIR NET (Earth Science)
>
>

>
>


Ruby negi
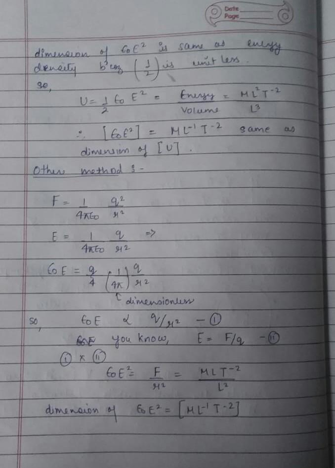
here note that 1/2 has no dimension so energy density i.e energy per unit volume has same dimension of epsilon*E^2...
I did it by another method too
for any doubt u could ask...
this is simple approch...